Fig. 3

Download original image
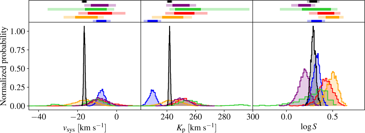
Posterior distributions of parameters of model 1C fit with an MCMC to HARPS-N N1 (blue), HARPS-N N2 (orange), CARMENES N1 (red), CARMENES N2 (green), HARPS-N N3 (purple), and all five nights combined (black). Lower panels: normalised posteriors (higher peak for better constrained parameters), and the marked improvement obtained when combining all data sets. Upper panels: 1σ (dark colour) and 2σ (light colour) confidence intervals obtained from the corresponding posteriors in the lower panels.
Current usage metrics show cumulative count of Article Views (full-text article views including HTML views, PDF and ePub downloads, according to the available data) and Abstracts Views on Vision4Press platform.
Data correspond to usage on the plateform after 2015. The current usage metrics is available 48-96 hours after online publication and is updated daily on week days.
Initial download of the metrics may take a while.