Fig. 1.

Download original image
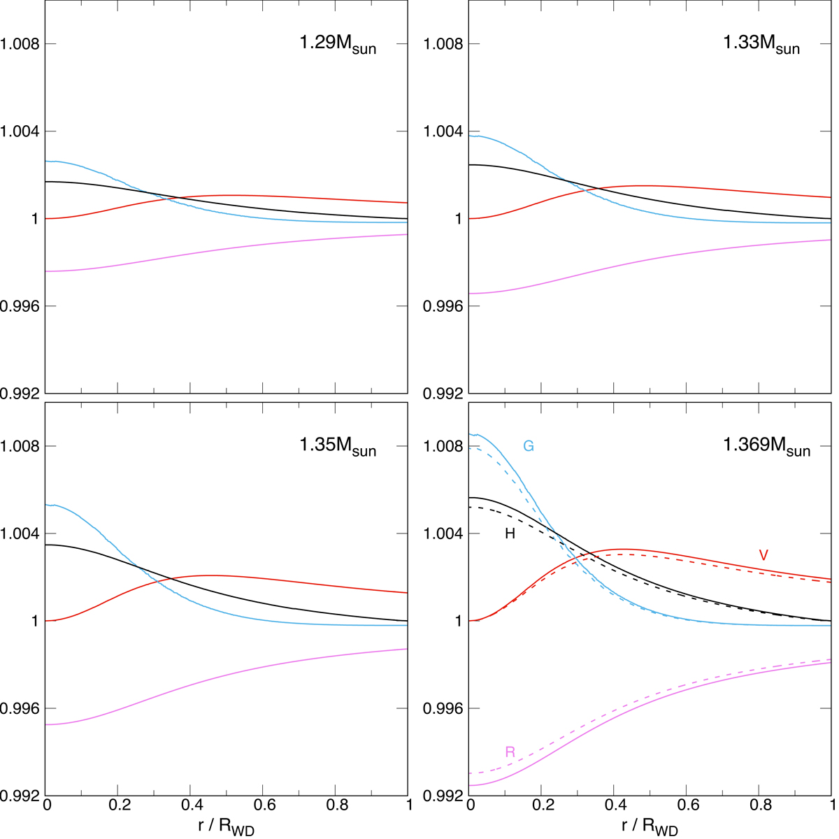
Run of general relativistic correction factors ℋ, 𝒢, 𝒱, and ℛ (black, blue, red, and pink lines, respectively) for 1.29, 1.33, 1.35, and 1.369 M⊙ white dwarf models at log L/L⊙ = −3 in terms of the fractional radius. Dashed lines in the bottom right panel illustrate the behavior of the same factors for a 1.369 M⊙ model at log L/L⊙ = −0.4.
Current usage metrics show cumulative count of Article Views (full-text article views including HTML views, PDF and ePub downloads, according to the available data) and Abstracts Views on Vision4Press platform.
Data correspond to usage on the plateform after 2015. The current usage metrics is available 48-96 hours after online publication and is updated daily on week days.
Initial download of the metrics may take a while.