Open Access
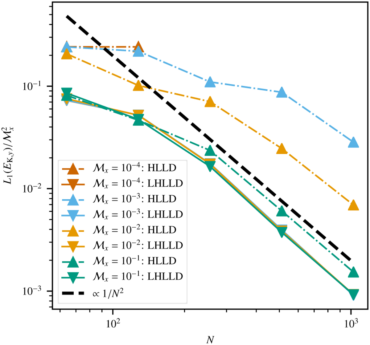
Fig. 13

Download original image
Convergence with resolution N of the L1 error associated with EK,y rescaled by in the simulations of the Kelvin–Helmholtz instability. Different colors are used for different initial sonic Mach numbers ℳx using the LHLLD (solid lines) and HLLD (dot-dashed lines) solvers. The dashed black line is the second-order scaling.
Current usage metrics show cumulative count of Article Views (full-text article views including HTML views, PDF and ePub downloads, according to the available data) and Abstracts Views on Vision4Press platform.
Data correspond to usage on the plateform after 2015. The current usage metrics is available 48-96 hours after online publication and is updated daily on week days.
Initial download of the metrics may take a while.