Open Access
Fig. 8

Download original image
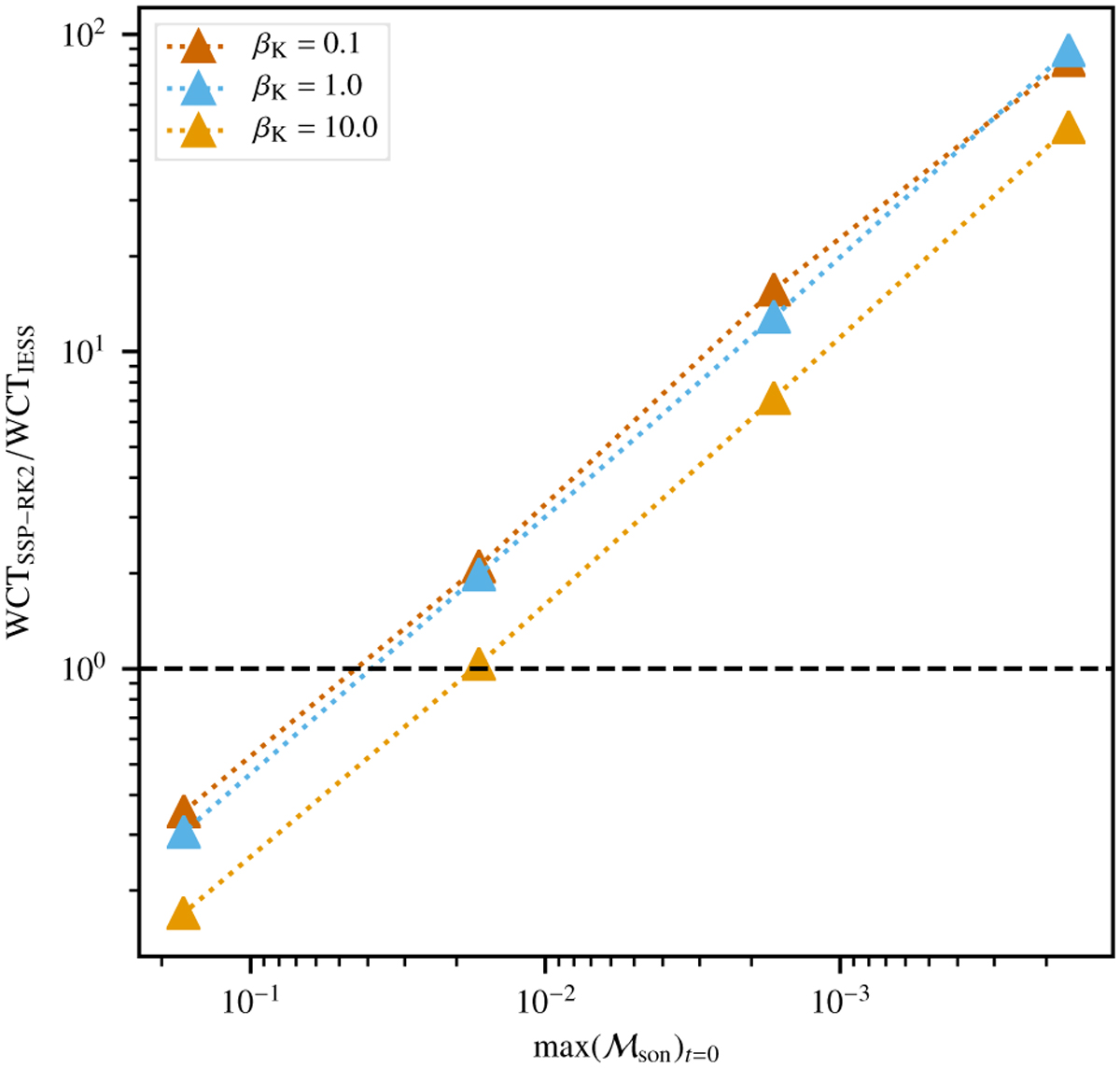
Ratio of the wall clock times obtained with SSP-RK2 and IESS as a function of initial maximum sonic Mach number of the Balsara vortex for different magnetic to (rotational) kinetic energy ratios. The dashed black line is drawn to represent the same relative efficiency.
Current usage metrics show cumulative count of Article Views (full-text article views including HTML views, PDF and ePub downloads, according to the available data) and Abstracts Views on Vision4Press platform.
Data correspond to usage on the plateform after 2015. The current usage metrics is available 48-96 hours after online publication and is updated daily on week days.
Initial download of the metrics may take a while.