Open Access

Fig. 10

image

Download original image

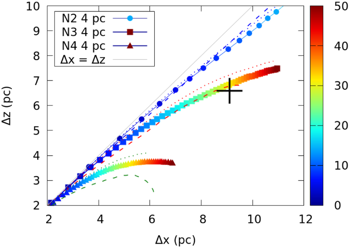
Evolution of the dimensions (∆x, ∆z) of the supernova remnant evolving into a homogeneous medium with densities 102, 103, and 104 cm−3 (models N2, N3, and N4) in the gravitational field described in Sect. 2. Coloured symbols are for a galactocentric distance rGC = 4 pc, and lines belong to distances of rGC = 2 pc (dashed) and rGC = 6 pc (dotted) for each density (circles for N2, squares for N3, and triangles for N4). Colour denotes the remnant age (0–50 kyr). The grey line is ∆x = ∆z, and the black cross shows the observed dimensions of Sgr A East.

Current usage metrics show cumulative count of Article Views (full-text article views including HTML views, PDF and ePub downloads, according to the available data) and Abstracts Views on Vision4Press platform.

Data correspond to usage on the plateform after 2015. The current usage metrics is available 48-96 hours after online publication and is updated daily on week days.

Initial download of the metrics may take a while.