Open Access
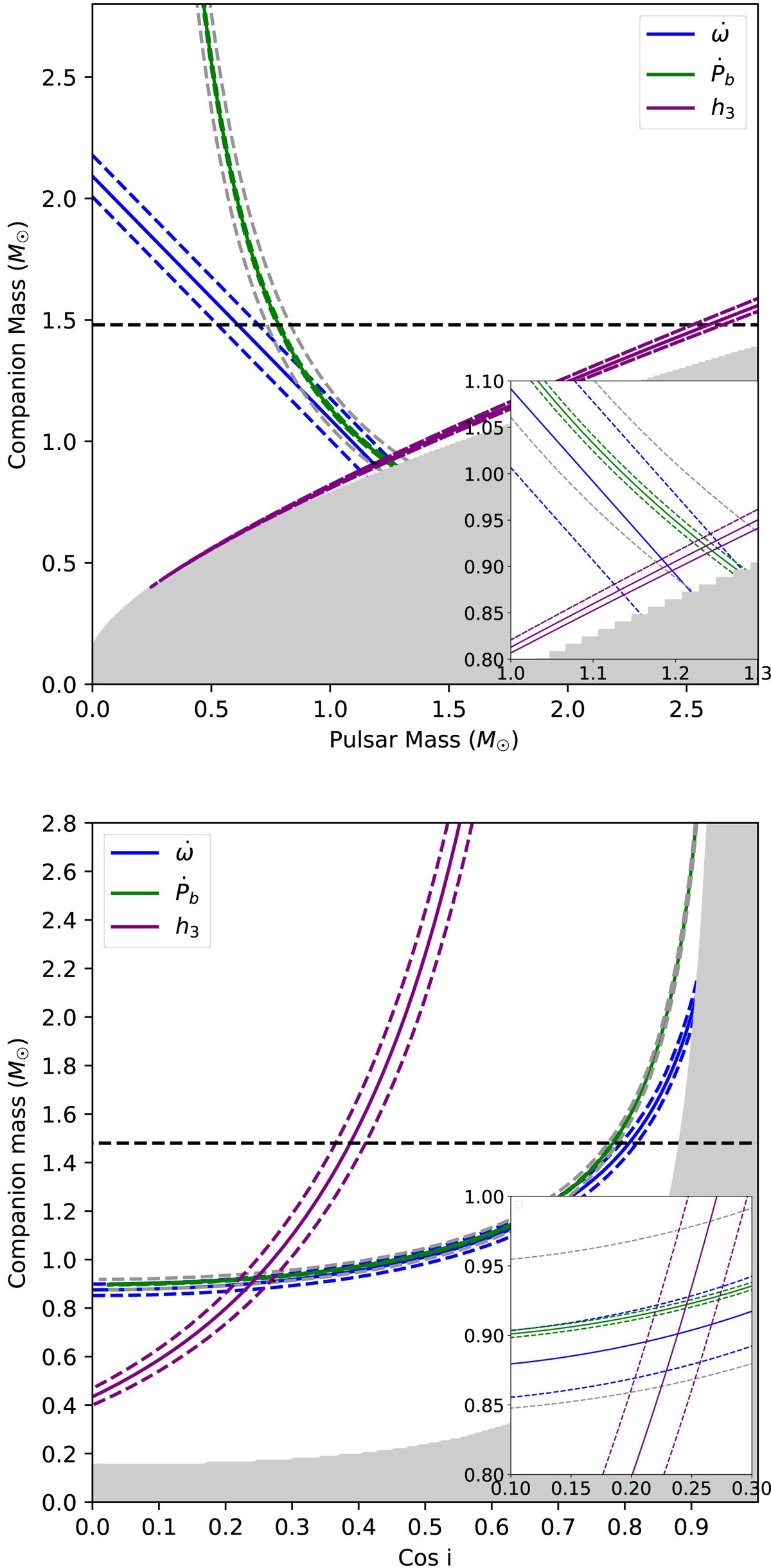
Fig. 6.

Download original image
Representation of measurements of three PK parameters in future assuming timing campaigns with FAST until 2039, which is when the mass uncertainties reach kinematic precision. The dashed lines show 1σ uncertainties, and dashed grey lines represent the kinematic limit on the Ṗb measurement coming from distance uncertainty.
Current usage metrics show cumulative count of Article Views (full-text article views including HTML views, PDF and ePub downloads, according to the available data) and Abstracts Views on Vision4Press platform.
Data correspond to usage on the plateform after 2015. The current usage metrics is available 48-96 hours after online publication and is updated daily on week days.
Initial download of the metrics may take a while.