Fig. 9.

Download original image
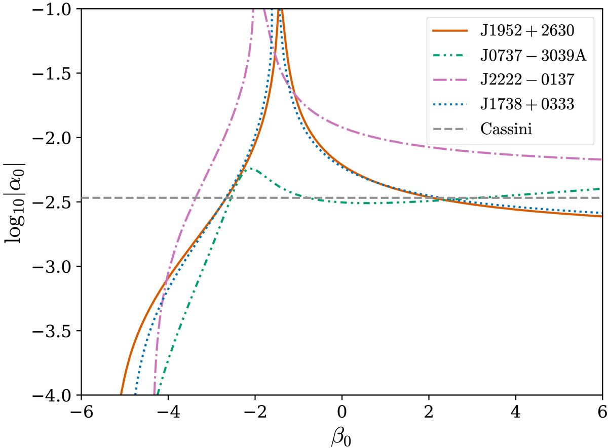
Comparison of existing limits placed on DEF gravity space {α0, β0} by radiative tests from different pulsars to the predictions for J1952+2630. All limits are taken for 68% C.L. and assume MPA1 EOS. The limit for J1952+2630 is predicted by the DDSTG timing model based on the simulated data set for observations from 2023 until 2032 with four campaigns every year. The limits for other pulsars are calculated by the traditional PK method based on the current measured PK parameters published in the literature (see Table 4). We do not include the limit from the triple system PSR J0337+1715 because of its non-radiative origin, despite being more restrictive in the large range of β0.
Current usage metrics show cumulative count of Article Views (full-text article views including HTML views, PDF and ePub downloads, according to the available data) and Abstracts Views on Vision4Press platform.
Data correspond to usage on the plateform after 2015. The current usage metrics is available 48-96 hours after online publication and is updated daily on week days.
Initial download of the metrics may take a while.