Open Access
Fig. 5.

Download original image
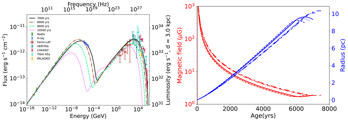
Impact of reverberation on the PWN MWL spectrum with increasing age is shown (left). The time evolution of the PWN magnetic field (red) and radius (blue) is shown (right) for tage = 6500 yr (dashed), 6800 yr (dotted), 7000 yr (solid), 7200 yr (dot-dashed), and 7500 yr (long-dashed).
Current usage metrics show cumulative count of Article Views (full-text article views including HTML views, PDF and ePub downloads, according to the available data) and Abstracts Views on Vision4Press platform.
Data correspond to usage on the plateform after 2015. The current usage metrics is available 48-96 hours after online publication and is updated daily on week days.
Initial download of the metrics may take a while.