Open Access
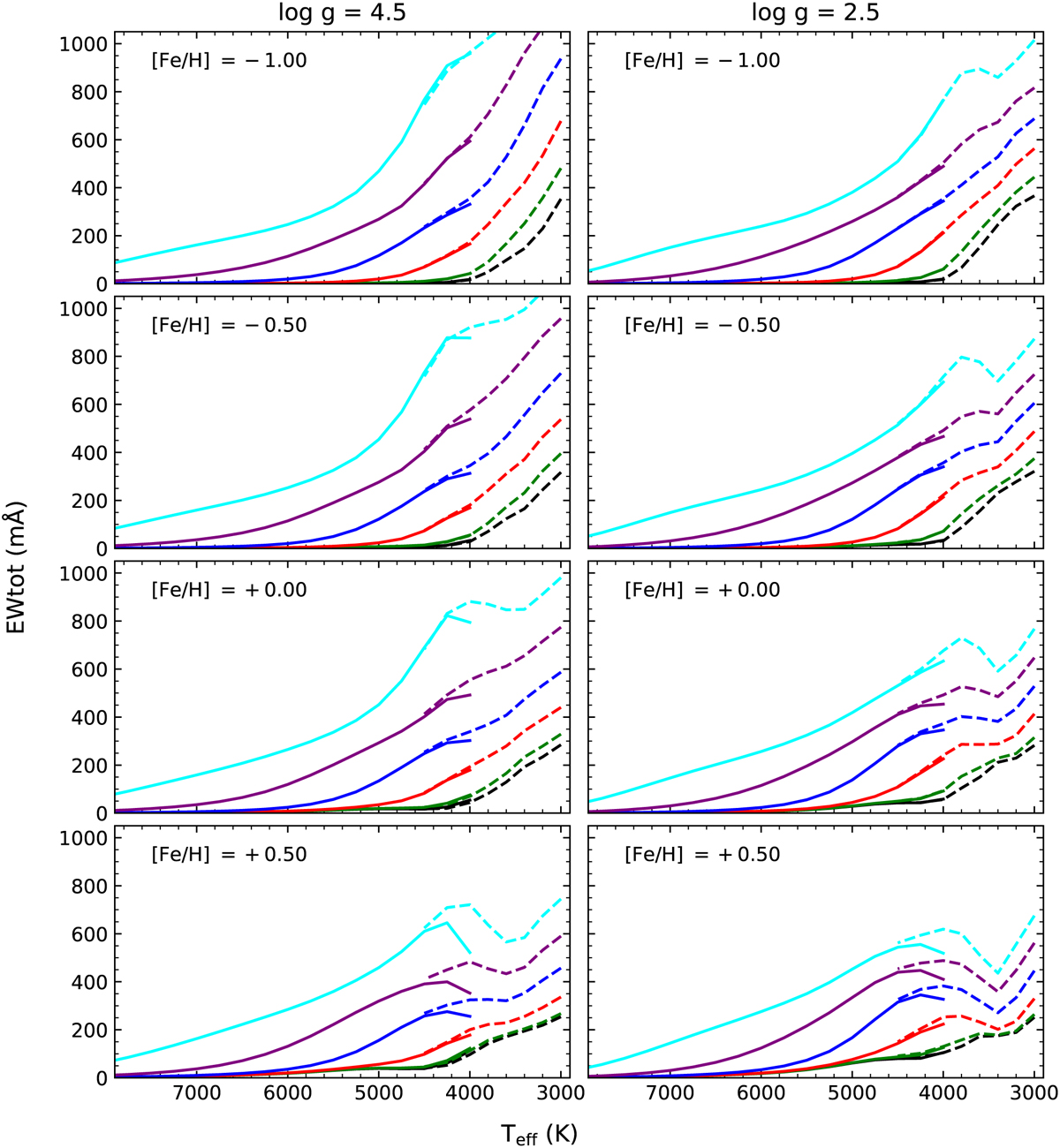
Fig. 5

Download original image
Comparison of the measured total EW(Li + Fe) vs. Teff for FGK (solid lines) and M-type stars with v sin i = 0 (dashed lines), for log g = 4.5 (leftpanels) and 2.5 (rightpanels), and different metallicities. The COGs are plotted for A(Li) = −1.0 (black), 0.0 (green), +1.0 (red), +2.0 (blue), +3.0 (purple), and +4.0 (cyan).
Current usage metrics show cumulative count of Article Views (full-text article views including HTML views, PDF and ePub downloads, according to the available data) and Abstracts Views on Vision4Press platform.
Data correspond to usage on the plateform after 2015. The current usage metrics is available 48-96 hours after online publication and is updated daily on week days.
Initial download of the metrics may take a while.