Open Access
Fig. 1

Download original image
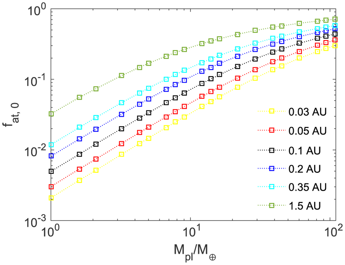
Initial atmospheric mass fractions as a function of initial planetary masses for planets located at orbital separations of 0.03, 0.05, 0.1, 0.2, and 0.35 AU according to the basic setup (Eq. (1); purple to cyan lines) and to the migrated scenarios (green line) defined in the text.
Current usage metrics show cumulative count of Article Views (full-text article views including HTML views, PDF and ePub downloads, according to the available data) and Abstracts Views on Vision4Press platform.
Data correspond to usage on the plateform after 2015. The current usage metrics is available 48-96 hours after online publication and is updated daily on week days.
Initial download of the metrics may take a while.