Fig. 2.

Download original image
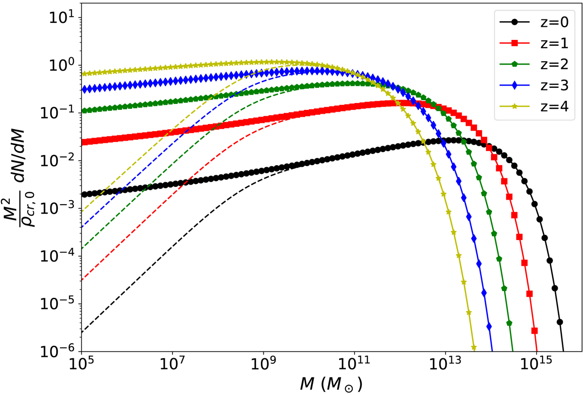
Comparison of the CDM differential halo mass function with the one of the WDM model for various redshifts. Solid lines refer to CDM, while dashed lines correspond to WDM. The vertical axis corresponds to the halo mass while the y-axis shows the proper density of haloes of mass M normalized to the present value of the critical density of the Universe.
Current usage metrics show cumulative count of Article Views (full-text article views including HTML views, PDF and ePub downloads, according to the available data) and Abstracts Views on Vision4Press platform.
Data correspond to usage on the plateform after 2015. The current usage metrics is available 48-96 hours after online publication and is updated daily on week days.
Initial download of the metrics may take a while.