Open Access

This article has an erratum: [https://doi.org/10.1051/0004-6361/202452897e]


Fig. B.2

image

Download original image

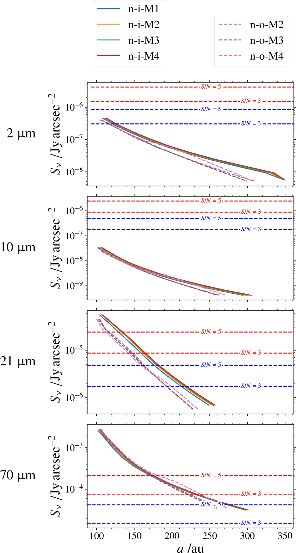
Brightness level of the isophotes used to trace the small grain halo (see Sect. 3.2) drawn over semimajor axis a. Solid lines are used for the systems with inner perturbers and dashed lines for those with outer perturbers, and rows are used to show four different wavelengths that trace small halo grains: 2 µm, 10 µm, 21 µm, and 70 µm. The horizontal dashed lines denote the minimum surface brightness required to achieve a certain detection significance (S/N), denoted by a multiple of the noise, σ. Red lines are for an exposure time of texp = 1 h, blue for texp = 5 h. For the wavelength of 2 µm the corresponding instrument is JWST/NIRCam, for 10 µm and 21 µm it is JWST/MIRI, and for 70 µm it is Herschel/PACS.

Current usage metrics show cumulative count of Article Views (full-text article views including HTML views, PDF and ePub downloads, according to the available data) and Abstracts Views on Vision4Press platform.

Data correspond to usage on the plateform after 2015. The current usage metrics is available 48-96 hours after online publication and is updated daily on week days.

Initial download of the metrics may take a while.