Open Access
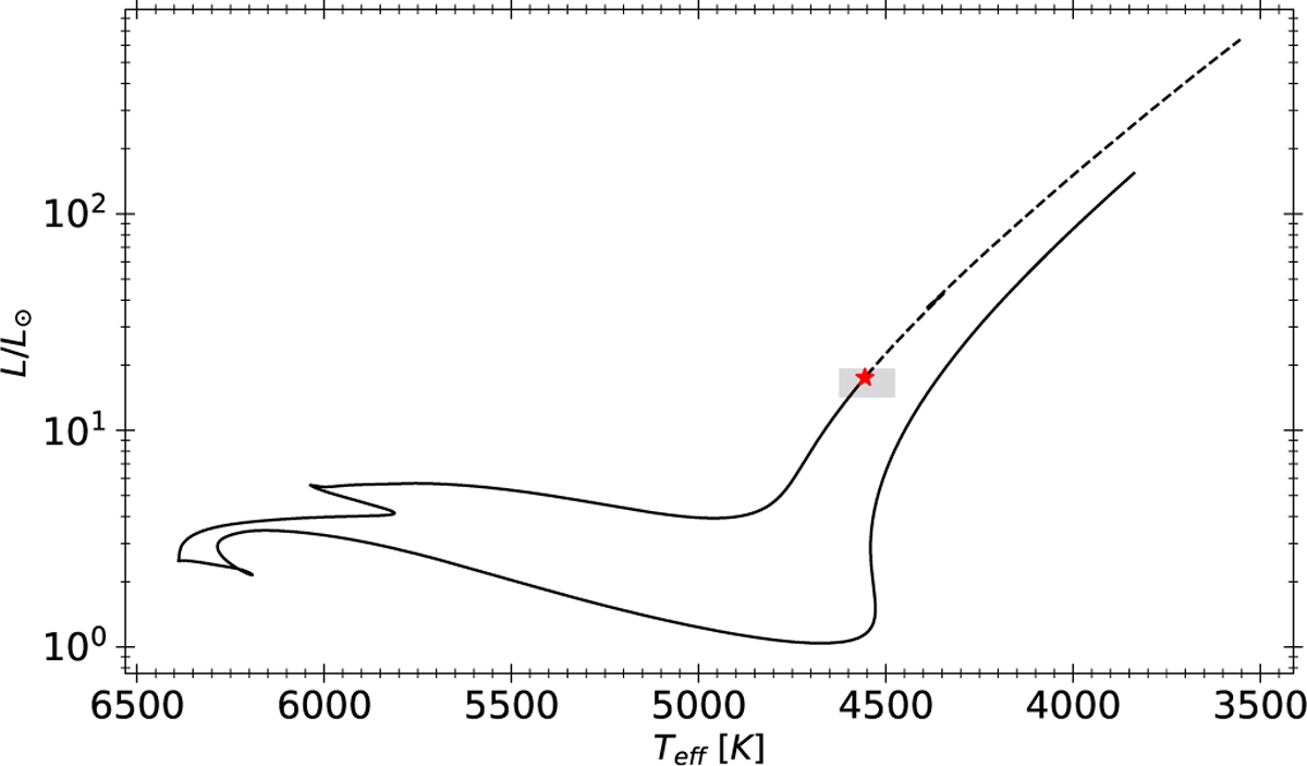
Fig. 2

Download original image
Hertzsprung-Russell diagram of the evolution of Kepler 91 from the pre-Main Sequence to the modelled actual state of the star and the its future evolution with dotted line. The grey area corresponds to the constraints on the effective temperature and luminosity listed in Table 1.
Current usage metrics show cumulative count of Article Views (full-text article views including HTML views, PDF and ePub downloads, according to the available data) and Abstracts Views on Vision4Press platform.
Data correspond to usage on the plateform after 2015. The current usage metrics is available 48-96 hours after online publication and is updated daily on week days.
Initial download of the metrics may take a while.