Fig. 5

Download original image
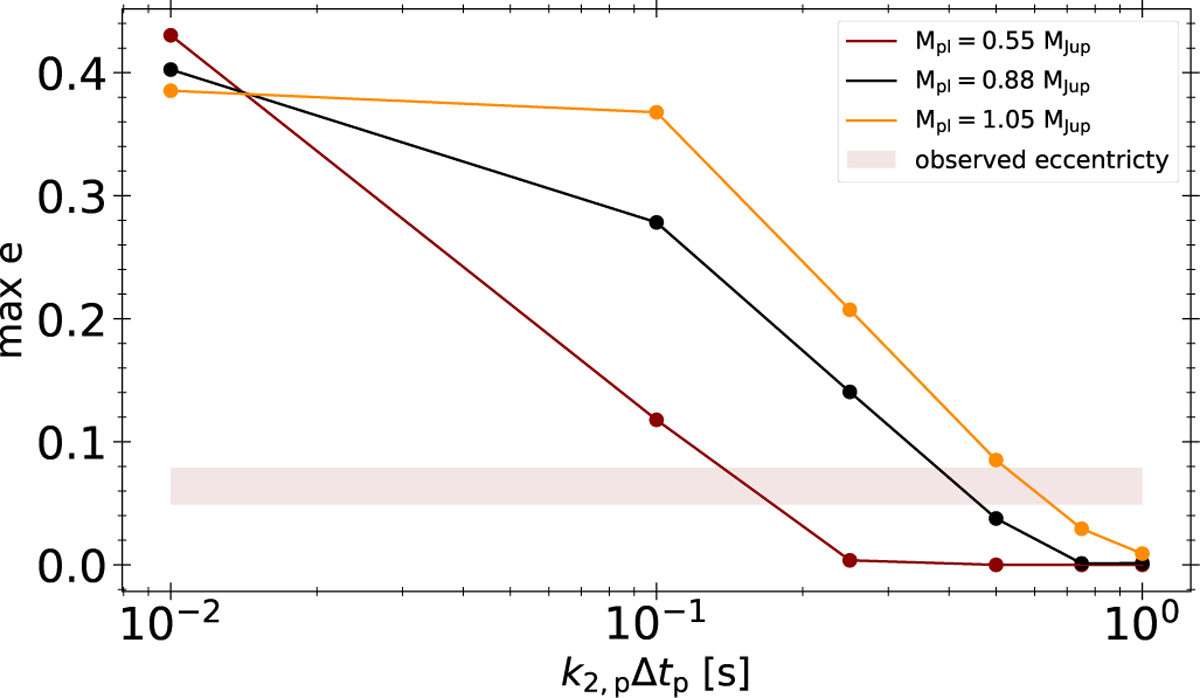
Results from the grid of evolutionary tracks illustrating the maximum eccentricity that Kepler 91b can reach for given values of the tidal dissipation parameter k2,p∆tp. These results are compared to the observed eccentricity for different planetary masses considered. A summary of the initial and final stellar, orbital and planetary parameters of each evolutionary track used here is presented in Table B.l.
Current usage metrics show cumulative count of Article Views (full-text article views including HTML views, PDF and ePub downloads, according to the available data) and Abstracts Views on Vision4Press platform.
Data correspond to usage on the plateform after 2015. The current usage metrics is available 48-96 hours after online publication and is updated daily on week days.
Initial download of the metrics may take a while.