Open Access
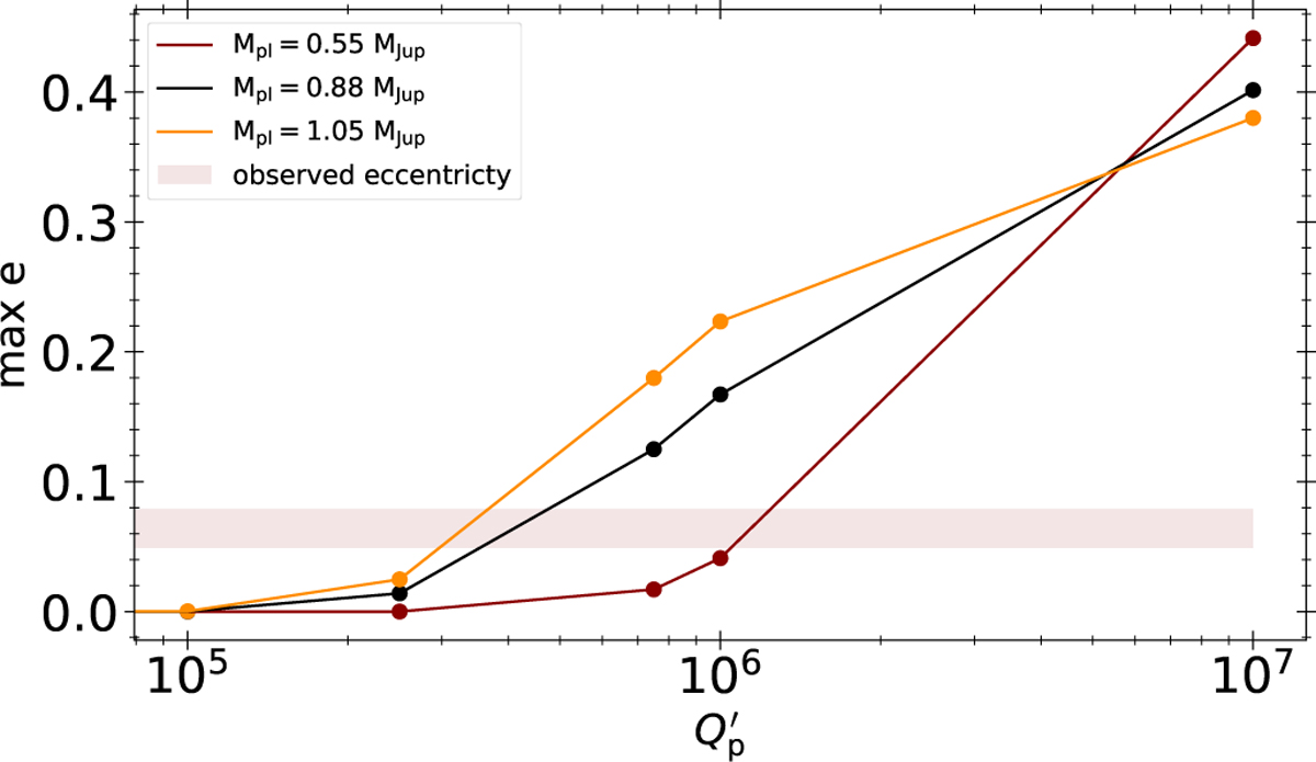
Fig. C.1

Download original image
Results from the grid of evolutionnary tracks where the maximum eccentricity of Kepler 91b is given for some values of the tidal dissipation parameter k2,pΔtp. These results are compared to the observed eccentricity for the three different planetary masses considered.
Current usage metrics show cumulative count of Article Views (full-text article views including HTML views, PDF and ePub downloads, according to the available data) and Abstracts Views on Vision4Press platform.
Data correspond to usage on the plateform after 2015. The current usage metrics is available 48-96 hours after online publication and is updated daily on week days.
Initial download of the metrics may take a while.