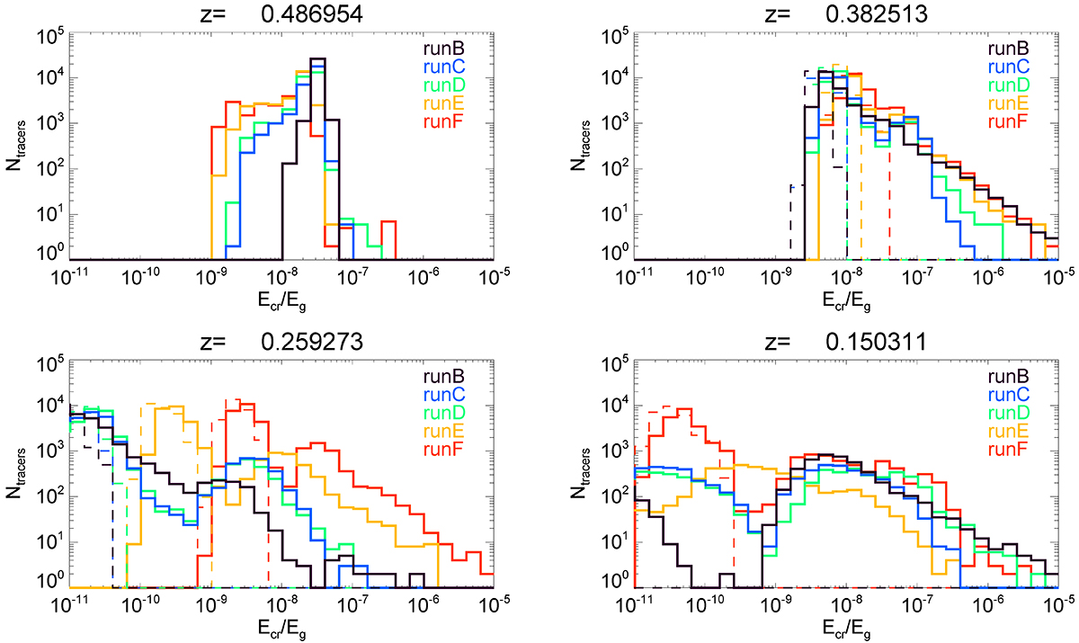
Fig. 13.

Download original image
Distributions of the ratio between the total energy of all relativistic electrons we evolved in our runs at four different epochs, and the thermal gas energy associated with the same tracers. The solid lines give the distribution of Ecr/Eg for the electron evolution model including shocks and turbulent re-acceleration, while the dashed lines are for the electron model only including radiative losses and adiabatic changes after the injection by jets. This figure only includes P/(mec)≥103 electrons in the computation of Ecr.
Current usage metrics show cumulative count of Article Views (full-text article views including HTML views, PDF and ePub downloads, according to the available data) and Abstracts Views on Vision4Press platform.
Data correspond to usage on the plateform after 2015. The current usage metrics is available 48-96 hours after online publication and is updated daily on week days.
Initial download of the metrics may take a while.