Open Access

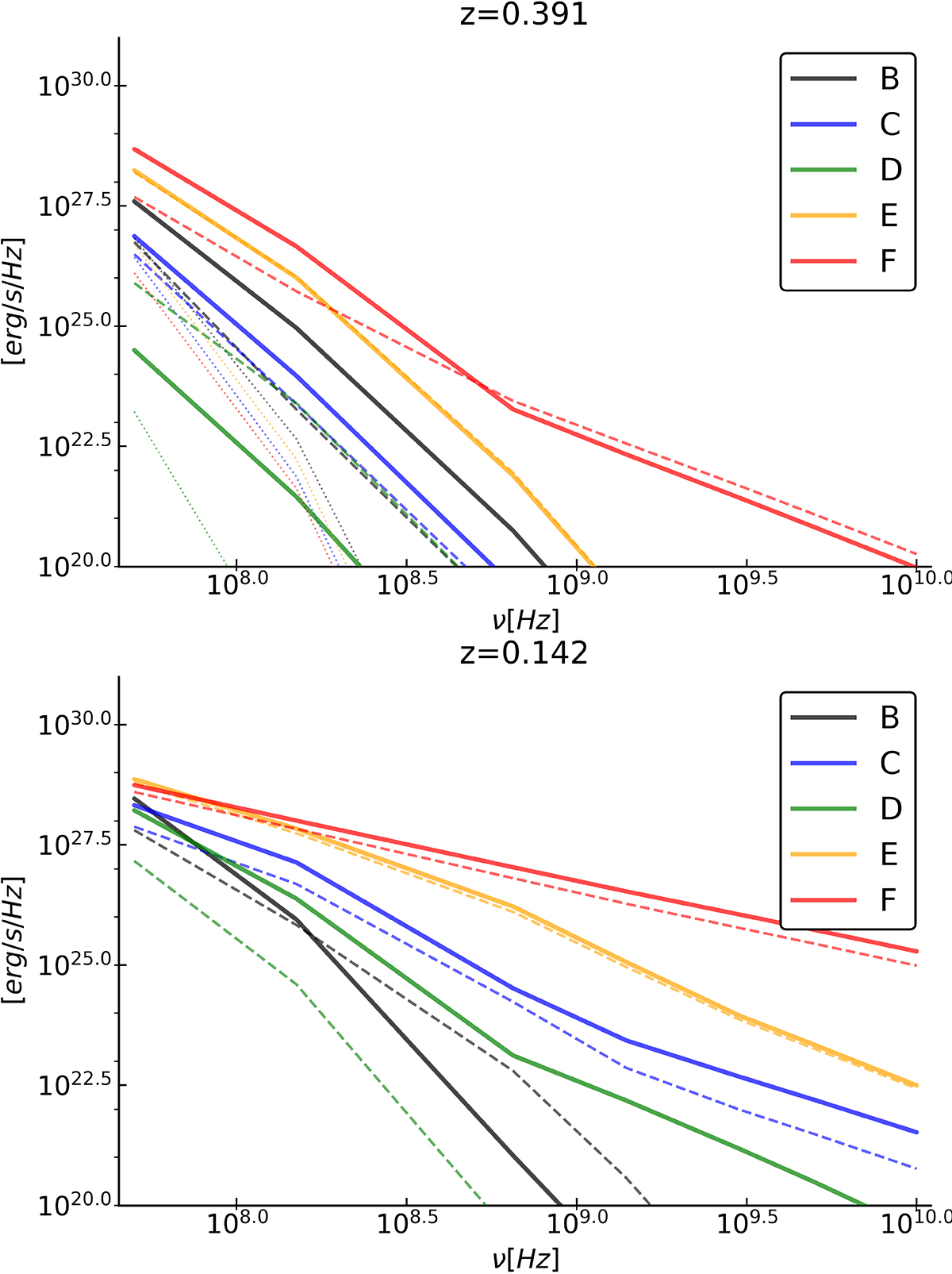
Fig. 15.

image

Download original image

Synchrotron radio spectra in our five runs at z = 391 (i.e. ≈760 Myr after the jet injection) and at z = 0.142 (≈3.2 Gyr after the jet injection). The solid lines are the spectra including all loss and re-acceleration terms, the dashed line are for models including all loss terms and shock (re)acceleration, while the dotted lines are for models including only loss terms.

Current usage metrics show cumulative count of Article Views (full-text article views including HTML views, PDF and ePub downloads, according to the available data) and Abstracts Views on Vision4Press platform.

Data correspond to usage on the plateform after 2015. The current usage metrics is available 48-96 hours after online publication and is updated daily on week days.

Initial download of the metrics may take a while.