Fig. A.3.

Download original image
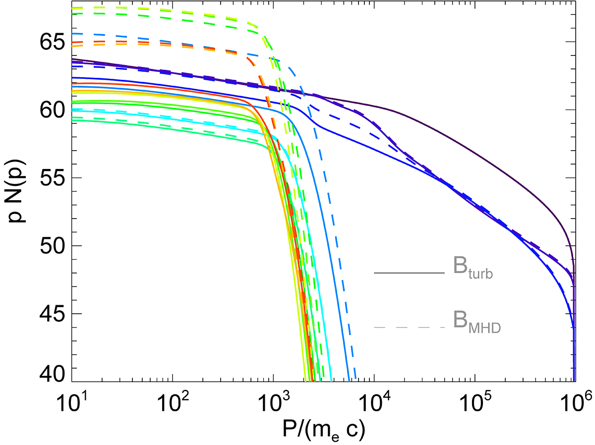
Evolution of the relativistic electron spectra in the innermost ≤300 kpc of our cluster in the run E model and including all loss and gain terms, using the rescaled magnetic field as in the main text (solid lines) or the original magnetic field produced by the MHD simulation (dashed lines). The different colours mark 10 different epochs, roughly equally spaced in time, from z = 0.5 (black) to z = 0.1 (red).
Current usage metrics show cumulative count of Article Views (full-text article views including HTML views, PDF and ePub downloads, according to the available data) and Abstracts Views on Vision4Press platform.
Data correspond to usage on the plateform after 2015. The current usage metrics is available 48-96 hours after online publication and is updated daily on week days.
Initial download of the metrics may take a while.