Fig. 13

Download original image
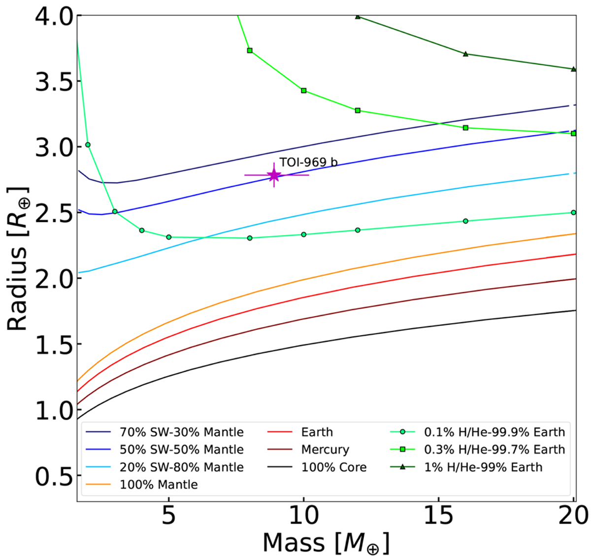
Mass-radius relationships for supercritical water (SW) planets (Acuña et al. 2021; Mousis et al. 2020), planets with Earth-like cores and H/He atmospheres (Zeng et al. 2019), and dry planets with different Fe contents (Brugger et al. 2017). We assume high chemical equilibrium temperatures for supercritical and H/He volatile layers of 1200 K and 2000 K, respectively. The position of TOI-969 b is indicated as a magenta star.
Current usage metrics show cumulative count of Article Views (full-text article views including HTML views, PDF and ePub downloads, according to the available data) and Abstracts Views on Vision4Press platform.
Data correspond to usage on the plateform after 2015. The current usage metrics is available 48-96 hours after online publication and is updated daily on week days.
Initial download of the metrics may take a while.