Fig. 14

Download original image
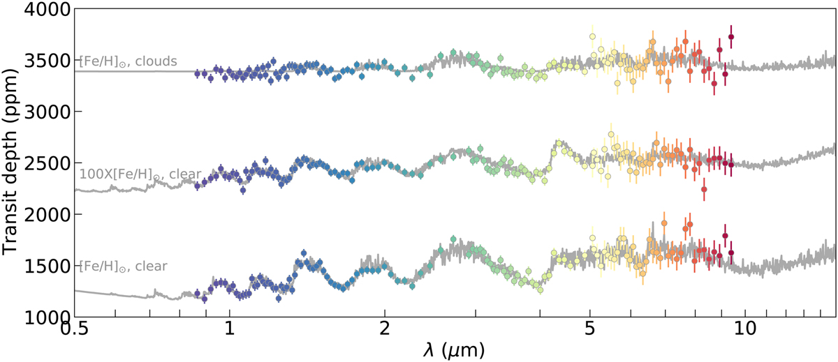
Synthetic transmission spectra of TOI-969 b. Fiducial models assuming a cloud-free atmosphere with solar abundances (bottom), cloud-free atmosphere with enhanced metallicity by a factor of 100 (middle), and atmosphere with solar abundances and an optically thick cloud deck with top pressure of 100 Pa (top). Estimated uncertainties are shown for the observation of one transit with JWST NIRISS-SOSS, NIRSpec-G395M, and MIRI-LRS configurations. Simulated data are color coded according to wavelength.
Current usage metrics show cumulative count of Article Views (full-text article views including HTML views, PDF and ePub downloads, according to the available data) and Abstracts Views on Vision4Press platform.
Data correspond to usage on the plateform after 2015. The current usage metrics is available 48-96 hours after online publication and is updated daily on week days.
Initial download of the metrics may take a while.