Open Access

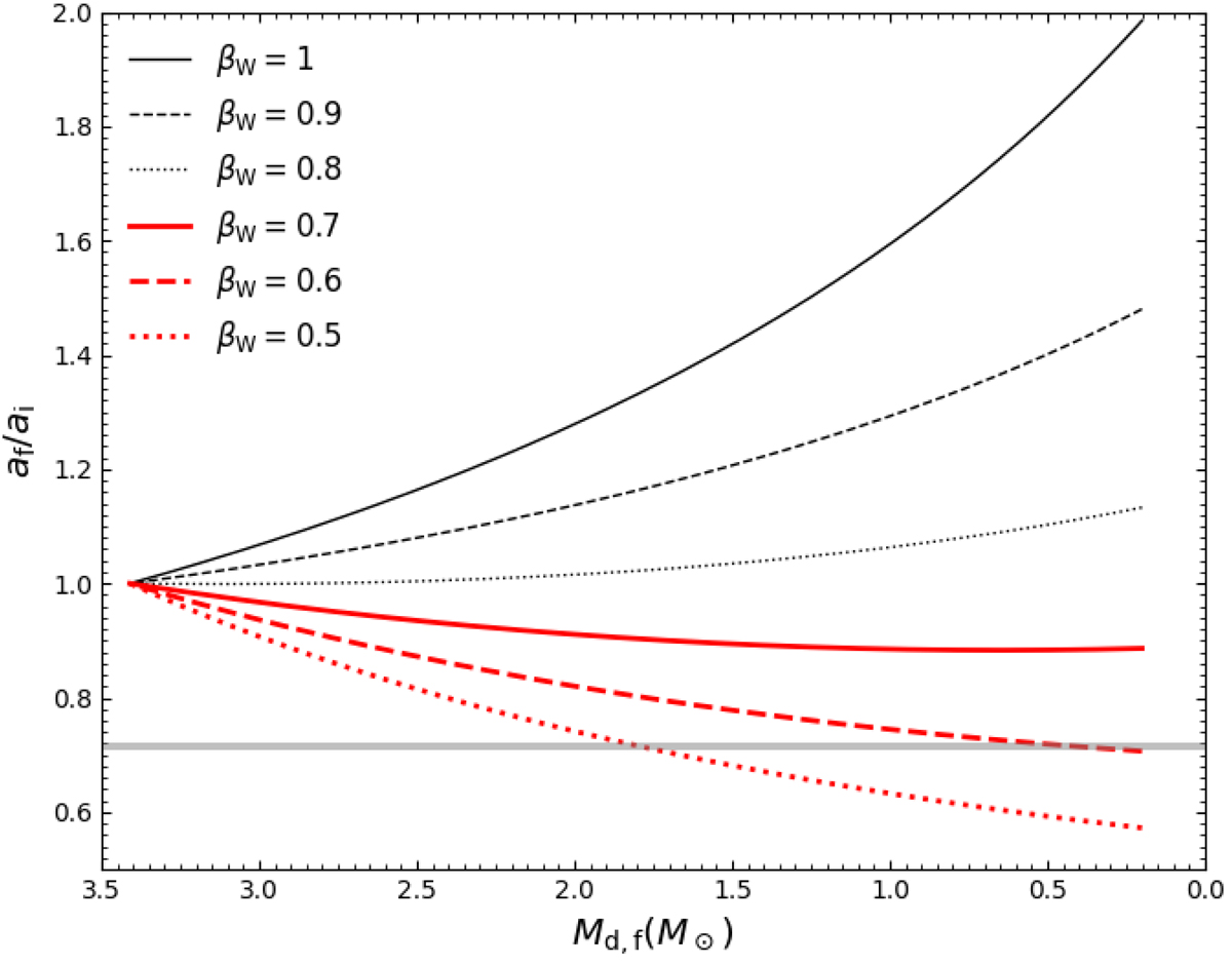
Fig. A.1.

image

Download original image

Orbital changes as a function of the donor mass due to the wind accretion processes with M1, i = 3.41 M, M2, i = 3.06 M. The grey line is for af/ai ≃ 0.71, corresponding to the peaks of P1, mt/Pi distributions in Figure 4. The results for βW from 0.5 to 1 are shown in black and red lines, as marked in the plot. We note that the wind accretion efficiency is equal to 1 − βW.

Current usage metrics show cumulative count of Article Views (full-text article views including HTML views, PDF and ePub downloads, according to the available data) and Abstracts Views on Vision4Press platform.

Data correspond to usage on the plateform after 2015. The current usage metrics is available 48-96 hours after online publication and is updated daily on week days.

Initial download of the metrics may take a while.