Open Access
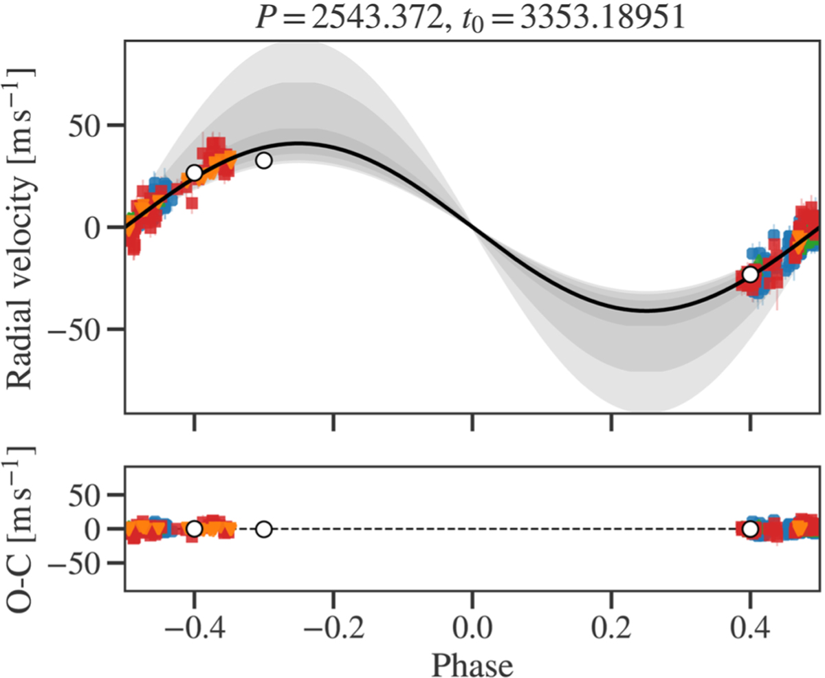
Fig. A.8

Download original image
RVs phase-folded to the P and t0 (shown above the panel, P units are days and t0 units are BJD-2 457 000) for planet f along with the best-fit model (black line) and the 1σ, 2σ, and 3σ confidence intervals (shaded grey areas).
Current usage metrics show cumulative count of Article Views (full-text article views including HTML views, PDF and ePub downloads, according to the available data) and Abstracts Views on Vision4Press platform.
Data correspond to usage on the plateform after 2015. The current usage metrics is available 48-96 hours after online publication and is updated daily on week days.
Initial download of the metrics may take a while.