Open Access

This article has an erratum: [https://doi.org/10.1051/0004-6361/202554037e]


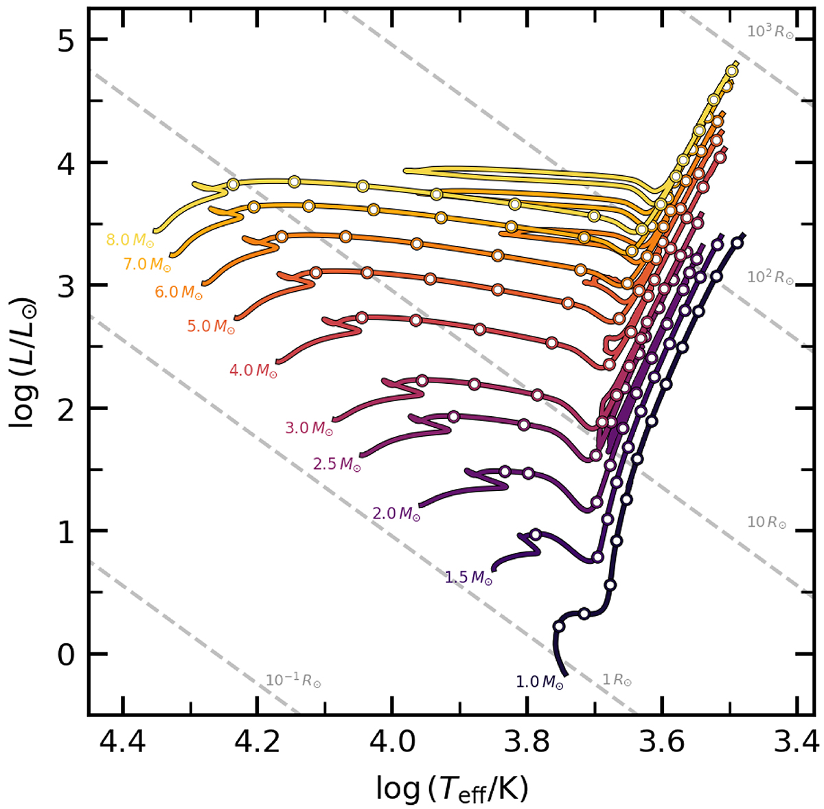
Fig. 1.

image

Download original image

Single-star evolutionary tracks in the HRD for different stellar masses. Each colour corresponds to a given initial mass, as indicated to the lower left of each line. The coloured open circles indicate where we save single-star models for use in our binary star simulations. We have indicated lines of constant radius using grey dashed lines. Note that we have truncated these tracks to start at the ZAMS, and end at either the first TP or the maximum radius of the star, depending on which occurs first.

Current usage metrics show cumulative count of Article Views (full-text article views including HTML views, PDF and ePub downloads, according to the available data) and Abstracts Views on Vision4Press platform.

Data correspond to usage on the plateform after 2015. The current usage metrics is available 48-96 hours after online publication and is updated daily on week days.

Initial download of the metrics may take a while.