Open Access

This article has an erratum: [https://doi.org/10.1051/0004-6361/202554037e]


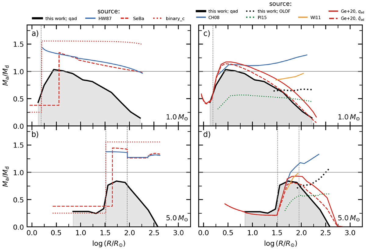
Fig. 9.

image

Download original image

Comparison of our results to the default sets of critical mass ratios (Ma/Md) implemented in the SeBa and binary_c rapid BPS codes and those found in detailed theoretical modelling efforts as a function of donor star radius. Each line corresponds to the source with the same style in the legend. As in Fig. 7, the solid black line and grey shading indicate the part of the parameter space that would lead to unstable mass transfer according to our quasi-adiabatic criterion.

Current usage metrics show cumulative count of Article Views (full-text article views including HTML views, PDF and ePub downloads, according to the available data) and Abstracts Views on Vision4Press platform.

Data correspond to usage on the plateform after 2015. The current usage metrics is available 48-96 hours after online publication and is updated daily on week days.

Initial download of the metrics may take a while.