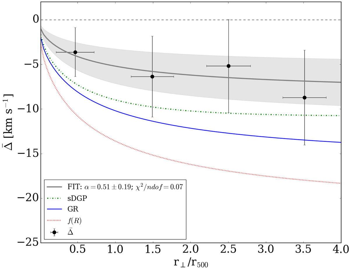
Fig. A.3.

Download original image
Best-fit model of from the MCMC (solid grey line) for all the clusters with mass above 3 × 1013 M⊙. The shaded grey area shows the 68% uncertainty on the posterior median. The theoretical predictions as functions of the transverse distance from the cluster centre from the GR (solid blue line), f(R) (dotted red line), and sDGP (dash-dotted green line) are shown for comparison.
Current usage metrics show cumulative count of Article Views (full-text article views including HTML views, PDF and ePub downloads, according to the available data) and Abstracts Views on Vision4Press platform.
Data correspond to usage on the plateform after 2015. The current usage metrics is available 48-96 hours after online publication and is updated daily on week days.
Initial download of the metrics may take a while.