Fig. C.1.

Download original image
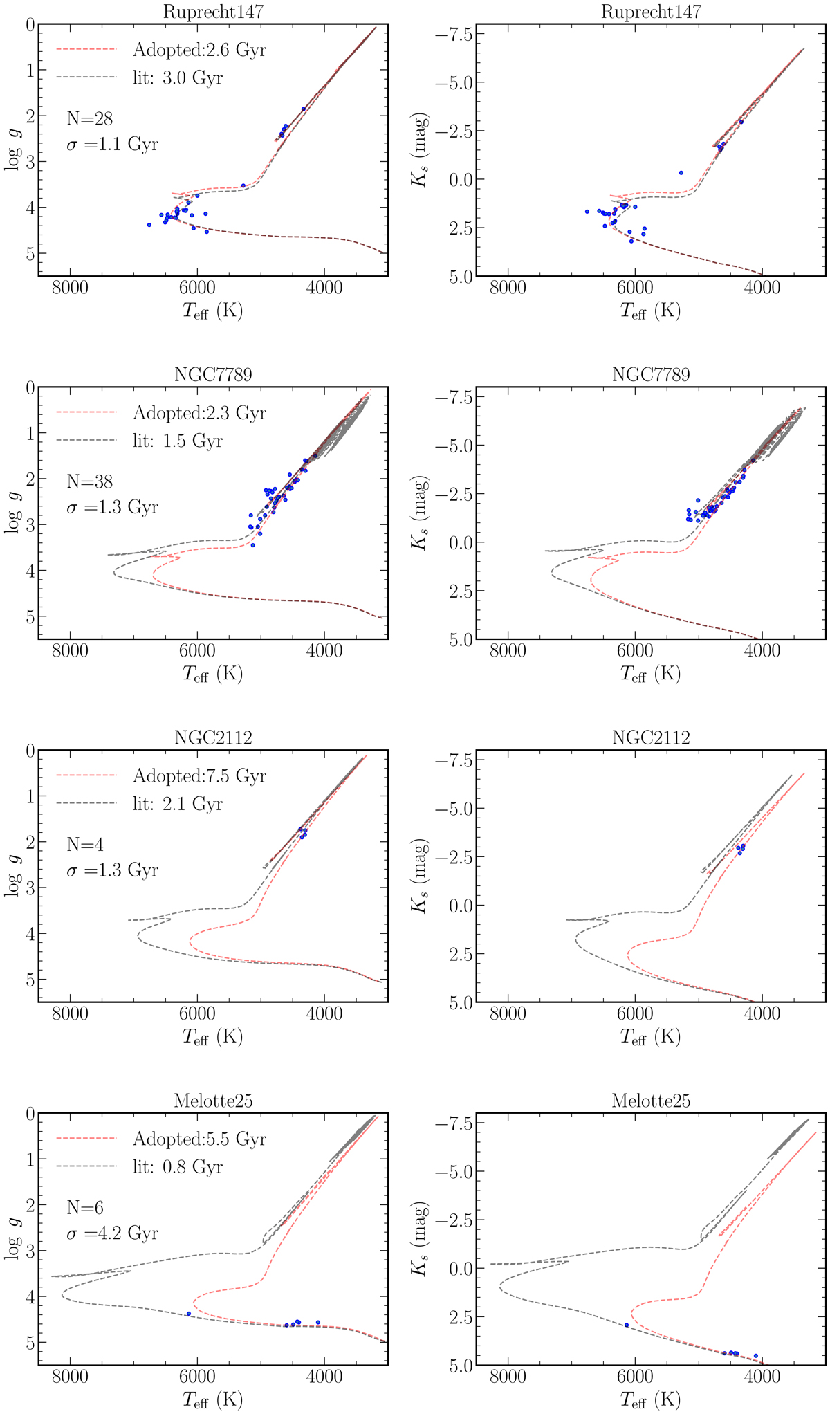
Teff-log g (left) and Teff-MKs (right) diagrams for a few cherry-picked open clusters. The isochrones of the adopted mean age (in red) and the reference age from Cantat-Gaudin et al. (2020) are plotted in red and black, respectively, for the mean metallicity of the cluster derived from the calibrated GSP-Spec values. The first two rows show examples for which our ages and the literature values are in good agreement. The bottom two rows show the opposite: for NGC2112 our solution fits the data better than the younger isochrone, pointing towards offsets in the input Teff, [M/H], or distance modulus. For NGC7789, our solution is not reliable, since main-sequence stars do not constrain the ages well enough.
Current usage metrics show cumulative count of Article Views (full-text article views including HTML views, PDF and ePub downloads, according to the available data) and Abstracts Views on Vision4Press platform.
Data correspond to usage on the plateform after 2015. The current usage metrics is available 48-96 hours after online publication and is updated daily on week days.
Initial download of the metrics may take a while.