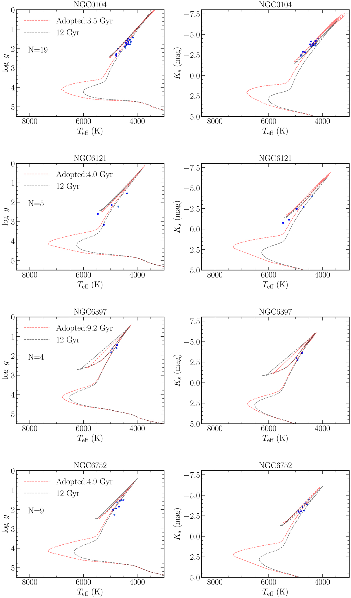
Fig. C.2.

Download original image
Teff-log g (left) and Teff-MKs (right) diagrams for a few cherry-picked globular clusters. Candidate stars were selected based on the results of Gaia Collaboration (2018c). The isochrones with the adopted mean age (in red) and for 12 Gyr are plotted in red and black, respectively, for the mean metallicity of the cluster derived from the calibrated GSP-Spec values.
Current usage metrics show cumulative count of Article Views (full-text article views including HTML views, PDF and ePub downloads, according to the available data) and Abstracts Views on Vision4Press platform.
Data correspond to usage on the plateform after 2015. The current usage metrics is available 48-96 hours after online publication and is updated daily on week days.
Initial download of the metrics may take a while.