Open Access

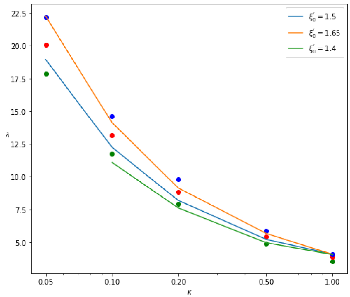
Fig. 15.

image

Download original image

Jet parameter space λ(κ) at the final stage of our simulations K1–K5 with α = 3/4. Each simulation is obtained for a unique mass loading κ and gives rise to a distribution of the magnetic lever arm λ with the radius: green, red, and blue dots correspond to anchoring radii ro = 5, 50, and 500, respectively. The solid curves are obtained for constant values (indicated in the panel) of the initial magnetic field inclination at the disk surface.

Current usage metrics show cumulative count of Article Views (full-text article views including HTML views, PDF and ePub downloads, according to the available data) and Abstracts Views on Vision4Press platform.

Data correspond to usage on the plateform after 2015. The current usage metrics is available 48-96 hours after online publication and is updated daily on week days.

Initial download of the metrics may take a while.