Open Access

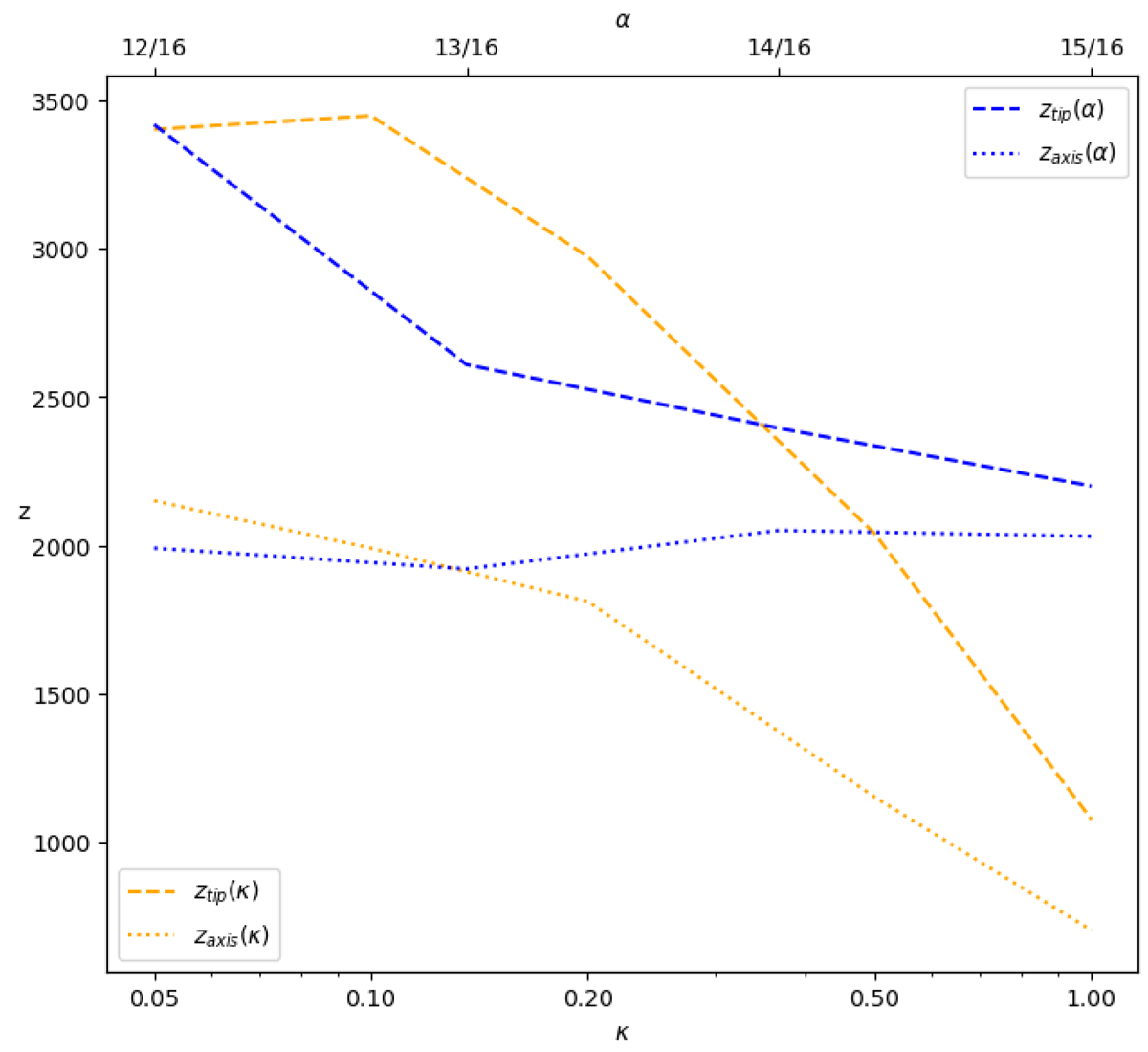
Fig. 17.

image

Download original image

Influence of κ (orange lines) and α (blue lines) on the altitude of the main recollimation shock. This is done by measuring two altitudes for each shock: its height at the axis (Zshock, solid lines) and the altitude of its outer edge (Ztip, dashed lines). The scale for κ is indicated below, while the scale for α is above.

Current usage metrics show cumulative count of Article Views (full-text article views including HTML views, PDF and ePub downloads, according to the available data) and Abstracts Views on Vision4Press platform.

Data correspond to usage on the plateform after 2015. The current usage metrics is available 48-96 hours after online publication and is updated daily on week days.

Initial download of the metrics may take a while.