Open Access

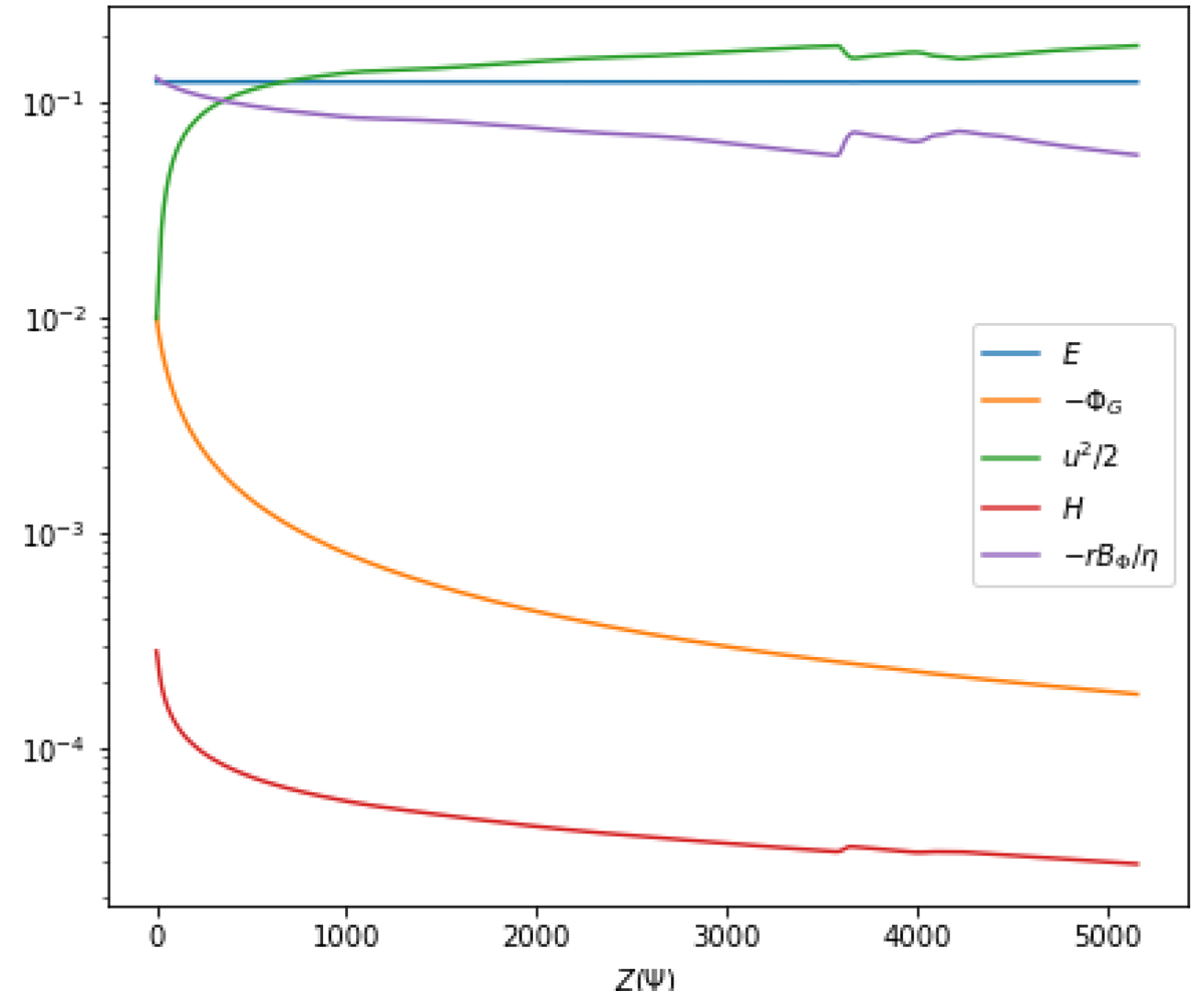
Fig. 6.

image

Download original image

Evolution of the various energy contributions along a magnetic surface of anchoring radius r0 = 100 for the simulation K2 at tend: the Bernoulli invariant E, the gravitational potential ΦG, the total specific kinetic energy u2/2, the enthalpy H, and the magnetic energy −Ω*rBΦ/η. The absicssa is the altitude Z(Ψ).

Current usage metrics show cumulative count of Article Views (full-text article views including HTML views, PDF and ePub downloads, according to the available data) and Abstracts Views on Vision4Press platform.

Data correspond to usage on the plateform after 2015. The current usage metrics is available 48-96 hours after online publication and is updated daily on week days.

Initial download of the metrics may take a while.