Open Access

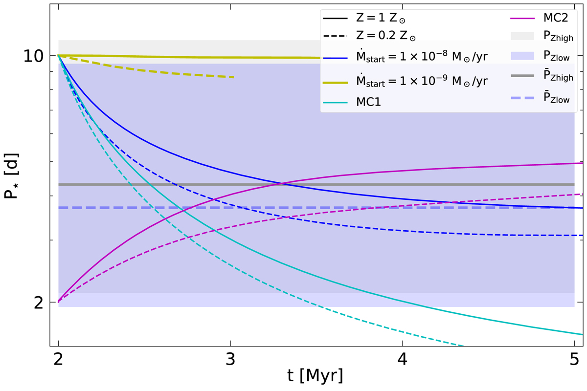
Fig. 10.

image

Download original image

Stellar rotational periods over time for both metallicities Z = 1 Z (solid lines) and Z = 0.2 Z (dashed lines). The colored lines represent the respective model. The ranges of the observed periods of young clusters with ages between ∼3 Myr and ≲5 Myr (see text) are indicated by the light gray (light blue) area for PZhigh (PZlow). The mean values () are indicated by horizontal lines in the respective color.

Current usage metrics show cumulative count of Article Views (full-text article views including HTML views, PDF and ePub downloads, according to the available data) and Abstracts Views on Vision4Press platform.

Data correspond to usage on the plateform after 2015. The current usage metrics is available 48-96 hours after online publication and is updated daily on week days.

Initial download of the metrics may take a while.