Open Access

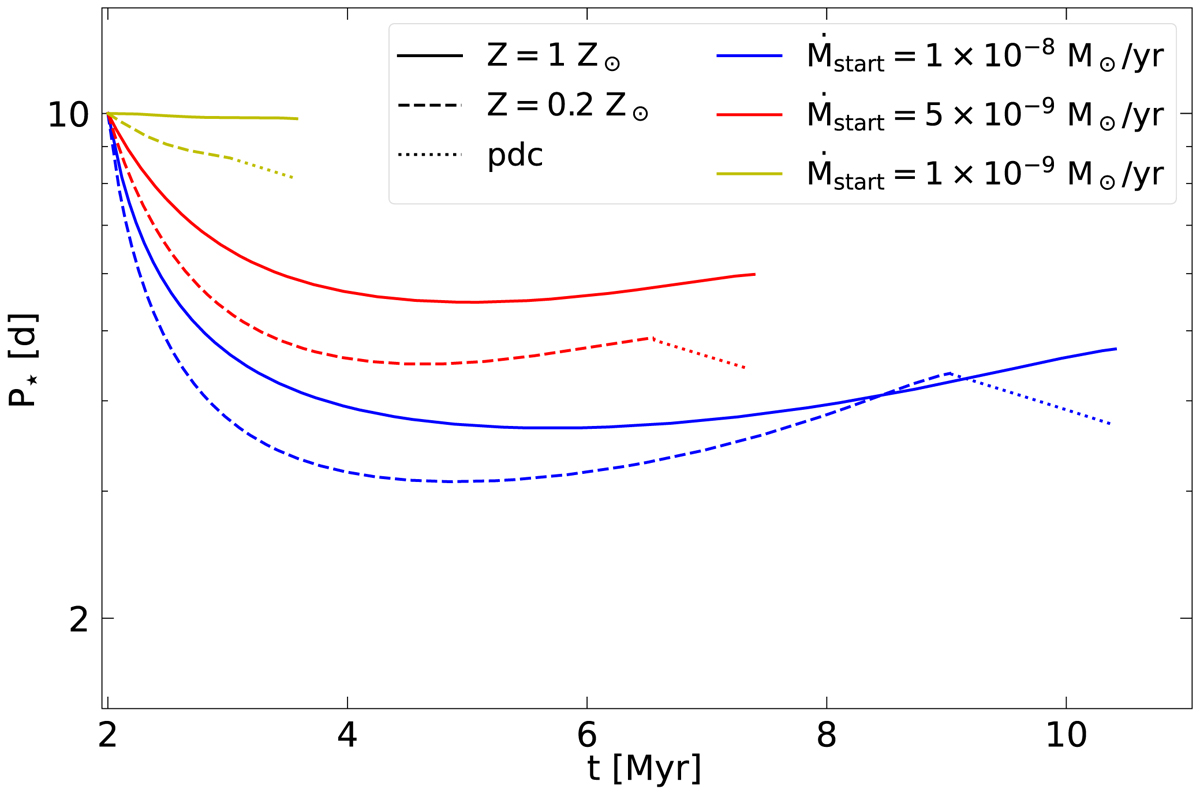
Fig. 8.

image

Download original image

Stellar rotational periods over time for both metallicities Z = 1 Z (solid lines) and Z = 0.2 Z (dashed lines). The yellow, red, and blue lines indicate models with start = [1 × 10−9, 5 × 10−9, and 1 × 10−8] M yr−1, respectively. For low metallicities, stellar spin-up due to contraction (post-disk contraction, pdc) until the disk lifetime of the solar metallicity is reached is indicated by colored dotted lines.

Current usage metrics show cumulative count of Article Views (full-text article views including HTML views, PDF and ePub downloads, according to the available data) and Abstracts Views on Vision4Press platform.

Data correspond to usage on the plateform after 2015. The current usage metrics is available 48-96 hours after online publication and is updated daily on week days.

Initial download of the metrics may take a while.