Open Access

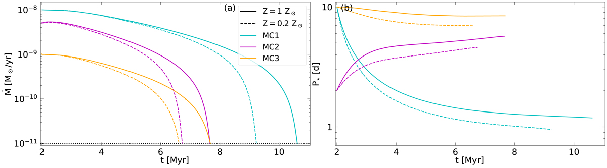
Fig. 9.

image

Download original image

Influence of the stellar magnetic field strength, B, initial rotation period, and viscous α parameter on the results for both metallicities Z = 1 Z (solid lines) and Z = 0.2 Z (dashed lines). The cyan, magenta, and orange lines show models MC1, MC2, and MC3, respectively. Panel a: same as Fig. 6. Panel b: same as Fig. 8 but without the post-disk contraction.

Current usage metrics show cumulative count of Article Views (full-text article views including HTML views, PDF and ePub downloads, according to the available data) and Abstracts Views on Vision4Press platform.

Data correspond to usage on the plateform after 2015. The current usage metrics is available 48-96 hours after online publication and is updated daily on week days.

Initial download of the metrics may take a while.