Open Access
Fig. C.4

Download original image
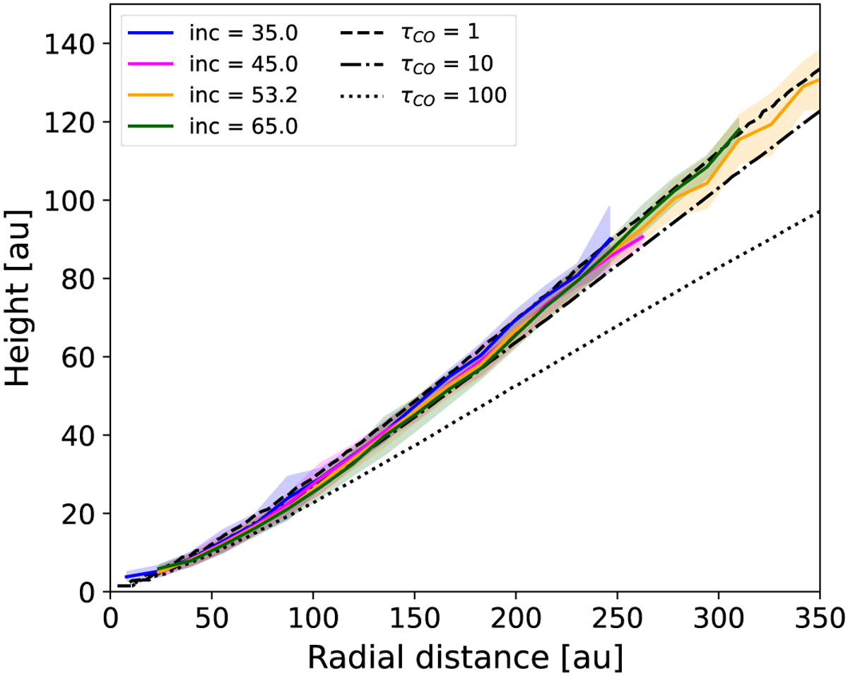
Extracted vertical profiles for 12CO J = 2 − 1 obtained using mock channel maps at different inclinations, from the GM Aur DALI model. Different colours trace the various inclinations, and the black lines indicate the 12CO millimetre optical depth values, as done in Fig. 8.
Current usage metrics show cumulative count of Article Views (full-text article views including HTML views, PDF and ePub downloads, according to the available data) and Abstracts Views on Vision4Press platform.
Data correspond to usage on the plateform after 2015. The current usage metrics is available 48-96 hours after online publication and is updated daily on week days.
Initial download of the metrics may take a while.