Fig. 2

Download original image
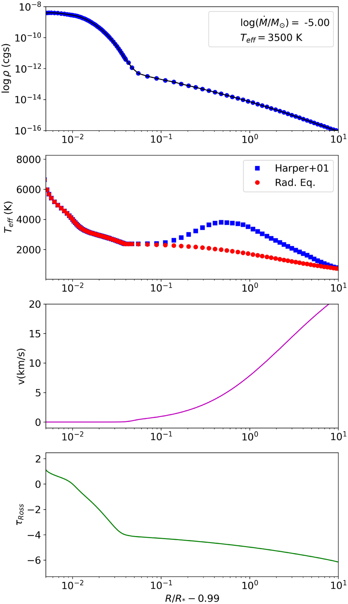
From top to bottom: extended profiles for the density (blue dots), temperature (blue squares for temperature inversion by Harper et al. (2001) also known as ‘Harper’, and red circles for simple radiative equilibrium), wind velocity (purple), and Rosseland optical depth (green). The extended model with log L/L⊙ = 4.8, Teff = 3500 K, log g = 0.0, M = 15 M⊙, M⊙ yr−1, and Rmax = 8.5 R* corresponds to the stellar parameters of HD 95687.
Current usage metrics show cumulative count of Article Views (full-text article views including HTML views, PDF and ePub downloads, according to the available data) and Abstracts Views on Vision4Press platform.
Data correspond to usage on the plateform after 2015. The current usage metrics is available 48-96 hours after online publication and is updated daily on week days.
Initial download of the metrics may take a while.