Fig. 6

Download original image
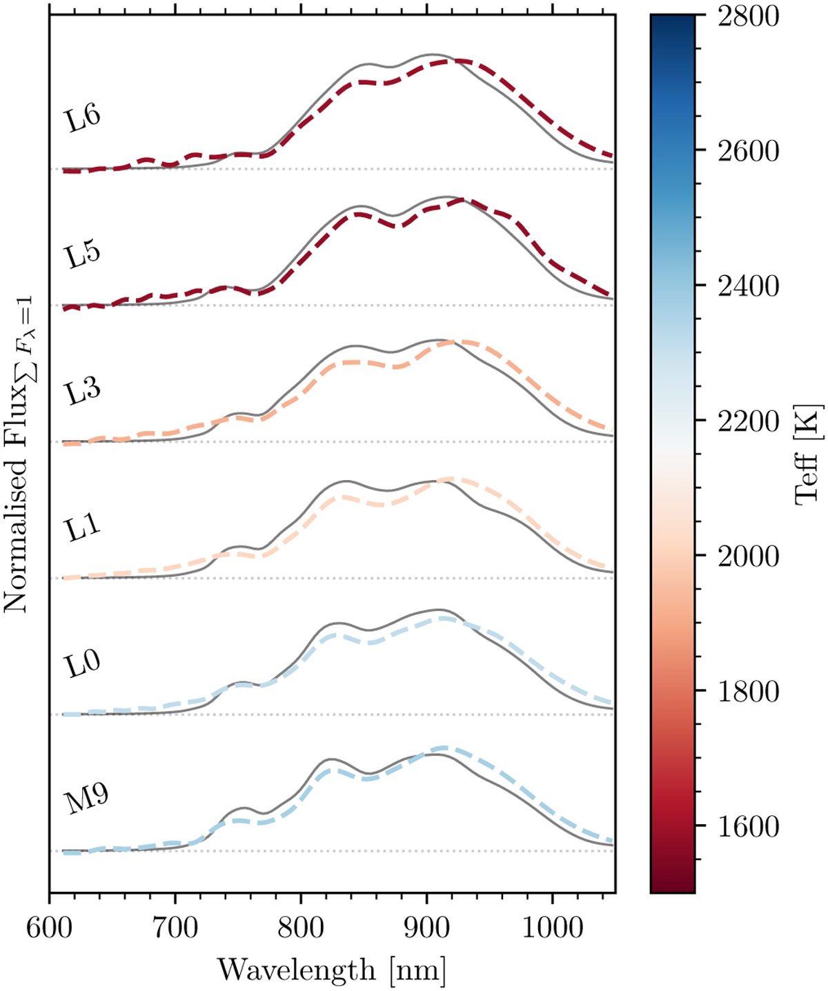
Ground-based optical spectra from the GTC (in dark grey; Cooper et al., in prep.). These spectra have been simulated from the original spectra by passing through MIOG. The object short names are: J1717+6526 – L6, J1213-0432 – L5, J0453-1751 – L3, J1745-1640 – LI, J0935-2934 – LO, and J0938+0443 – M9. Over-plotted are the corresponding observed RP spectra of the same objects coloured by effective temperature and labelled by spectral type. All fluxes are normalised by the area and linearly offset.
Current usage metrics show cumulative count of Article Views (full-text article views including HTML views, PDF and ePub downloads, according to the available data) and Abstracts Views on Vision4Press platform.
Data correspond to usage on the plateform after 2015. The current usage metrics is available 48-96 hours after online publication and is updated daily on week days.
Initial download of the metrics may take a while.