Open Access

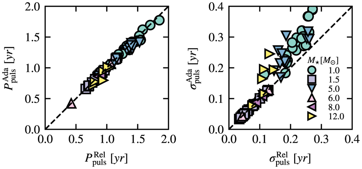
Fig. 4

image

Download original image

Comparison between the different width methods, relative (Rel) or adaptive (Ada) in superscript, in the derived pulsation periods and spreads (left and right panels, respectively). Two models that have extremely extended atmospheres were omitted from the right panel to preserve clarity of the plot (as the values are around 0.8 [yr]).

Current usage metrics show cumulative count of Article Views (full-text article views including HTML views, PDF and ePub downloads, according to the available data) and Abstracts Views on Vision4Press platform.

Data correspond to usage on the plateform after 2015. The current usage metrics is available 48-96 hours after online publication and is updated daily on week days.

Initial download of the metrics may take a while.