Highlight
Open Access

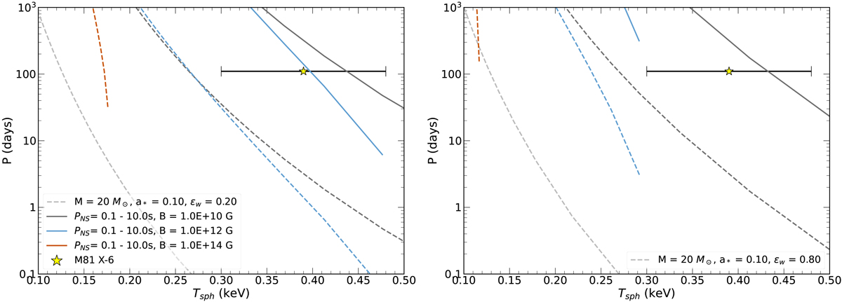
Fig. 8.

image

Download original image

Lense-Thirring accretion plane adapted from Middleton et al. (2019). Left and right panels: resulting Tsph and precessing period of the wind for εwind = 0.2 and 0.8, respectively. The values expected for a 20 M BH with a dimensionless spin of 0.1 are shown in dashed dark blue and could be considered as a rough upper limit for the location of BHs in the plane. The rest of the lines show the values for NSs with different dipole magnetic field strengths, as indicated. The solid and dashed lines show the effect of varying the spin of the NS from 3 × 10−5 to 3 × 10−3, which we have converted to periods assuming canonical values for the moment of inertia and mass of the NS (see the text for details) and represent typical values observed in ULXs.

Current usage metrics show cumulative count of Article Views (full-text article views including HTML views, PDF and ePub downloads, according to the available data) and Abstracts Views on Vision4Press platform.

Data correspond to usage on the plateform after 2015. The current usage metrics is available 48-96 hours after online publication and is updated daily on week days.

Initial download of the metrics may take a while.