Highlight
Open Access

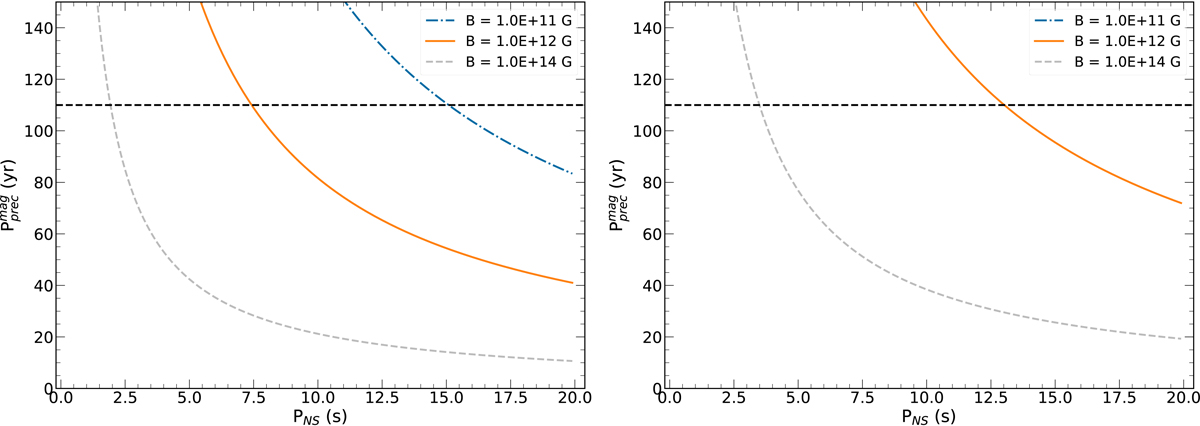
Fig. 9.

image

Download original image

Precessing period due to the interaction of the NS magnetic field with the accretion disc (Lipunov & Shakura 1980) as a function of the NS spin period calculated for different values of the NS dipole magnetic field. Left and right panels: calculations for ϵw = 0.2 and ϵw = 0.8, respectively. The horizontal dashed line indicates the super-orbital period of 110 days of M 81 X-6 (Lin et al. 2015), and we have considered the temperature of the soft component in the calculations of Rmag.

Current usage metrics show cumulative count of Article Views (full-text article views including HTML views, PDF and ePub downloads, according to the available data) and Abstracts Views on Vision4Press platform.

Data correspond to usage on the plateform after 2015. The current usage metrics is available 48-96 hours after online publication and is updated daily on week days.

Initial download of the metrics may take a while.