Open Access

Fig. 4.

image

Download original image

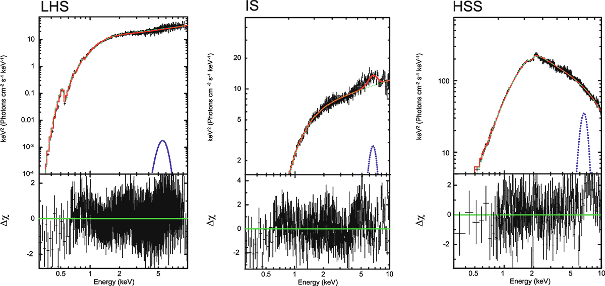
Evolution of MAXI J1348–630 spectra, fitted using the tbabs*(bmc+gauss) model for three spectral states. Data are taken from the Swift/XRT observations: 00088843001 (MJD = 58515.75, left), 00011107003 (MJD = 58519, center), and 00011107007 (MJD = 58524, right). Data are shown as black crosses and the spectral model components are displayed as dashed green and blue lines for the BMC and gaussian components, respectively. The resulting spectrum as a sum of these components are presented by red line. In the bottom panels, we show the corresponding Δχ vs. photon energy (in keV).

Current usage metrics show cumulative count of Article Views (full-text article views including HTML views, PDF and ePub downloads, according to the available data) and Abstracts Views on Vision4Press platform.

Data correspond to usage on the plateform after 2015. The current usage metrics is available 48-96 hours after online publication and is updated daily on week days.

Initial download of the metrics may take a while.