Open Access

Fig. 8.

image

Download original image

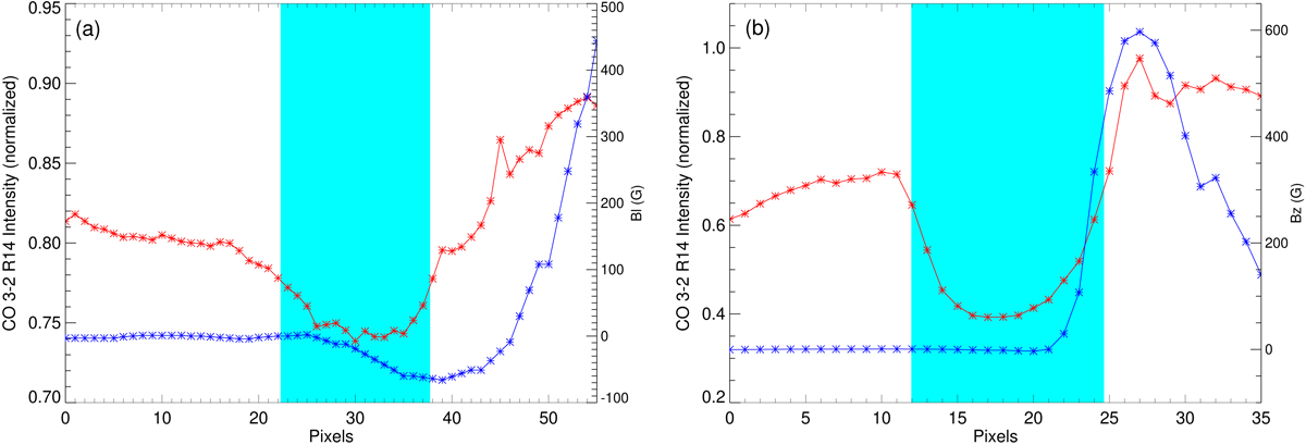
Normalized CO 3–2 R14 line center intensity (red) and Bl or Bz strength (blue). Panel a is along the slit indicated by the green line in Fig. 3e, and panel b is along the slit shown in Fig. 6b. The cyan shading indicates the edge of the network magnetic field regions.

Current usage metrics show cumulative count of Article Views (full-text article views including HTML views, PDF and ePub downloads, according to the available data) and Abstracts Views on Vision4Press platform.

Data correspond to usage on the plateform after 2015. The current usage metrics is available 48-96 hours after online publication and is updated daily on week days.

Initial download of the metrics may take a while.