Open Access
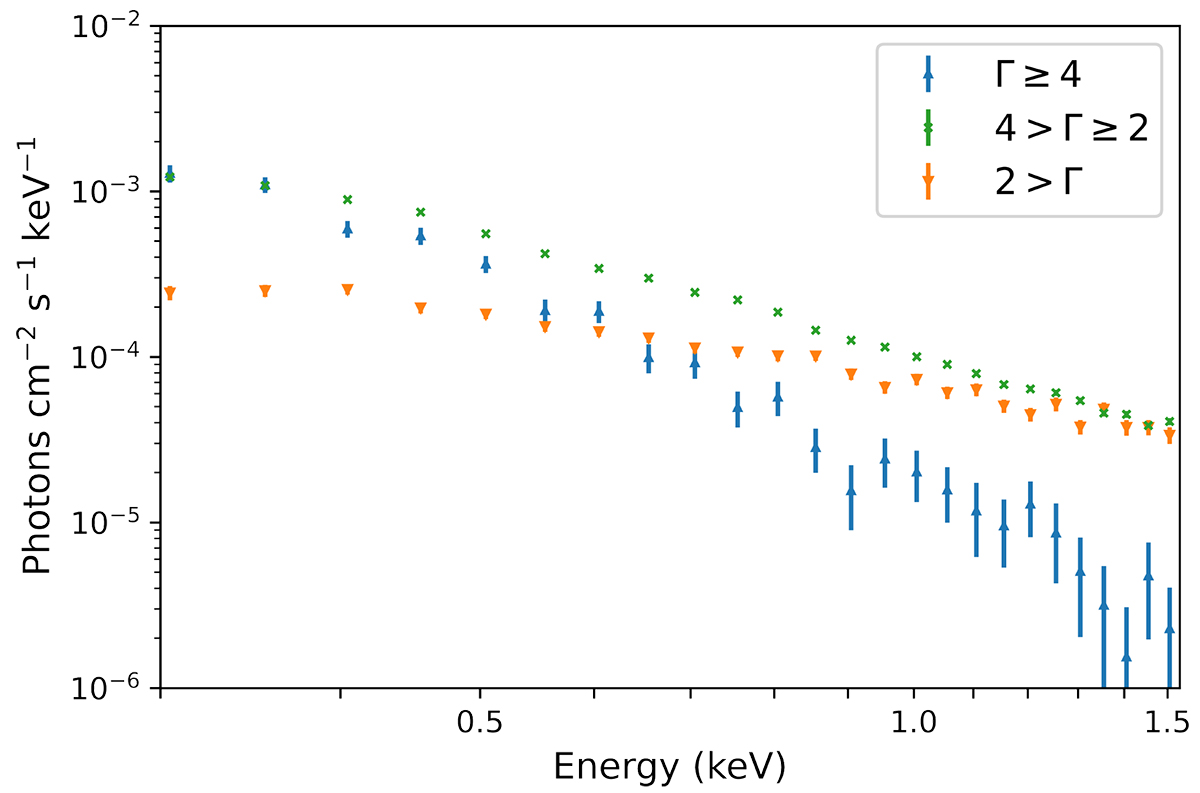
Fig. 4.

Download original image
Averaged unfolded spectra of sources showing a high (Γ ≥ 4), moderate (4 > Γ ≥ 2), and low (2 > Γ) photon index, respectively, when fitted with NH fixed. For the gamma distribution of this fit, see Fig. 3. For improved visualisation, the data were put into bins with a width of 0.05 keV.
Current usage metrics show cumulative count of Article Views (full-text article views including HTML views, PDF and ePub downloads, according to the available data) and Abstracts Views on Vision4Press platform.
Data correspond to usage on the plateform after 2015. The current usage metrics is available 48-96 hours after online publication and is updated daily on week days.
Initial download of the metrics may take a while.