Open Access

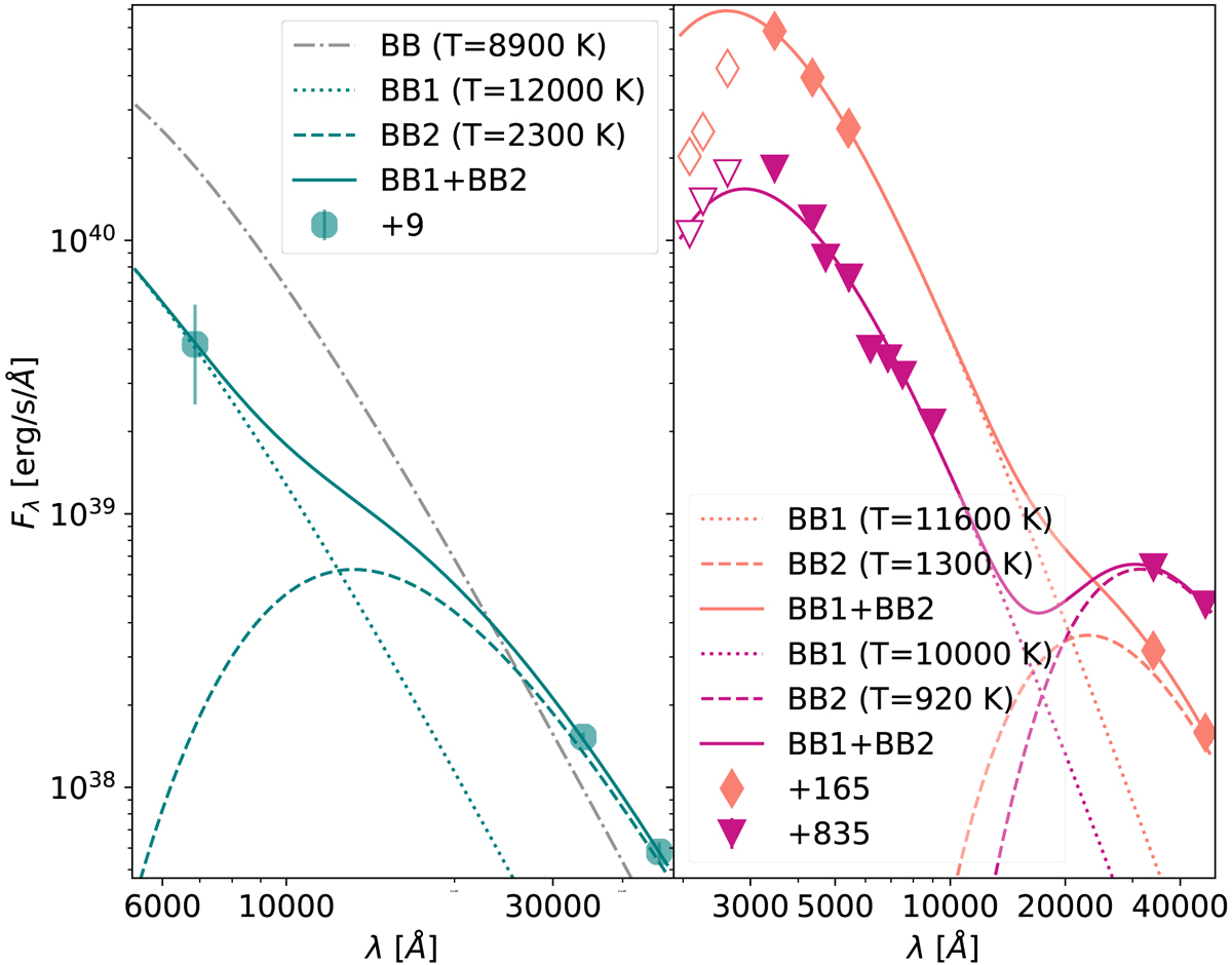
Fig. 5.

image

Download original image

Examples of three epochs of blackbody fits to the photometry that includes the NEOWISE data. In the left panel, the best fit by using one blackbody is shown. For the first epoch of the MIR detection, together with the quasi-simultaneous ATLAS photometry, the best fit temperature is ∼8900 K. A better fit is obtained by using a double blackbody model, and the resulting blackbody temperatures are shown. In the right panel, the fits of the two-blackbody model are shown to the photometry of two epochs, +165 and +835 days where the NUV bands are plotted, but have not been included in the fitting procedure.

Current usage metrics show cumulative count of Article Views (full-text article views including HTML views, PDF and ePub downloads, according to the available data) and Abstracts Views on Vision4Press platform.

Data correspond to usage on the plateform after 2015. The current usage metrics is available 48-96 hours after online publication and is updated daily on week days.

Initial download of the metrics may take a while.