Open Access
Fig. 5.

Download original image
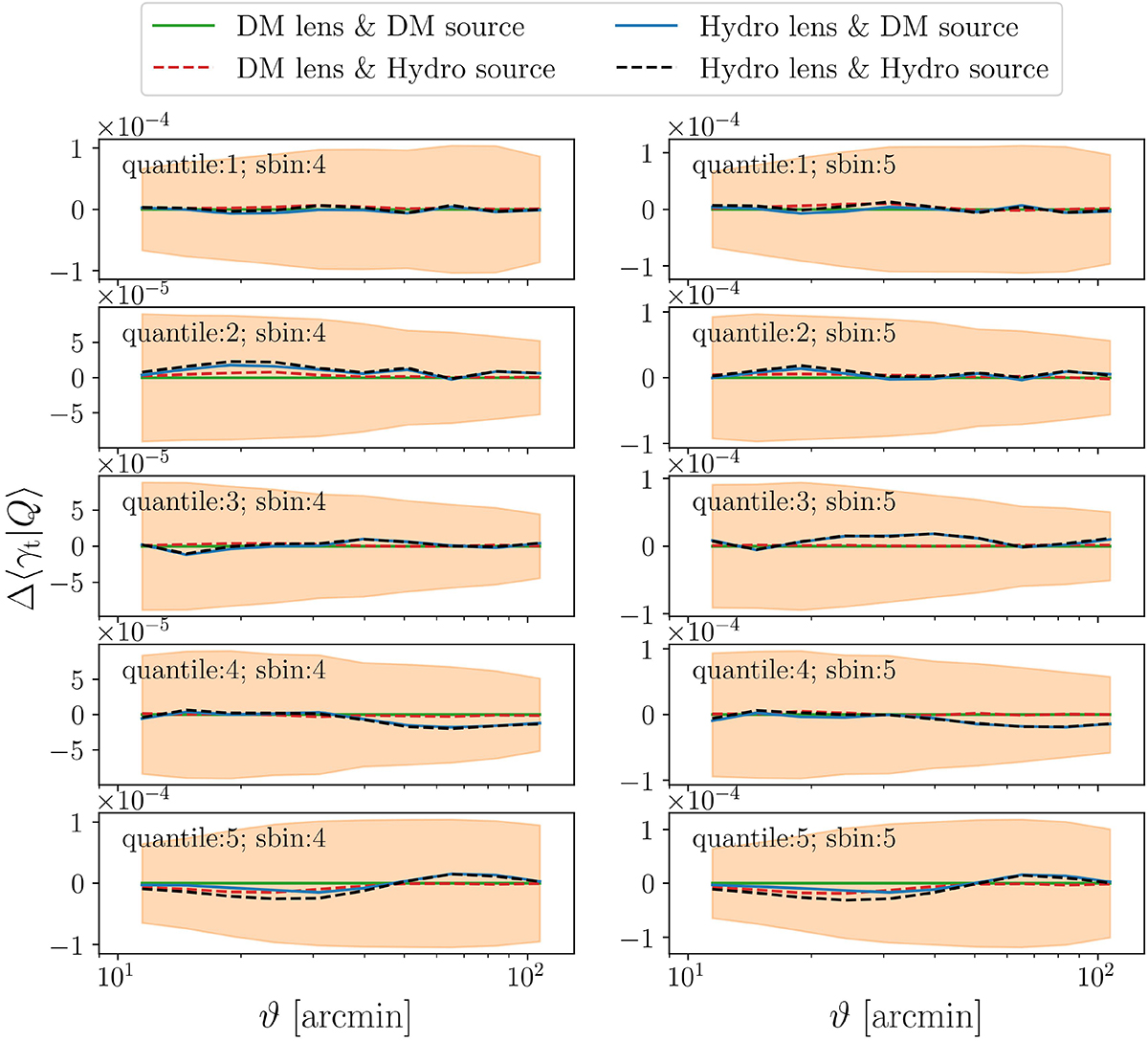
Absolute differences between the mean shear profiles for all quantiles using either dark matter-only or full hydrodynamical Magneticum simulations. The residuals are with respect to the dark matter-only mocks for the lenses and sources and are always within the expected statistical uncertainty shown as the orange bands.
Current usage metrics show cumulative count of Article Views (full-text article views including HTML views, PDF and ePub downloads, according to the available data) and Abstracts Views on Vision4Press platform.
Data correspond to usage on the plateform after 2015. The current usage metrics is available 48-96 hours after online publication and is updated daily on week days.
Initial download of the metrics may take a while.