Open Access
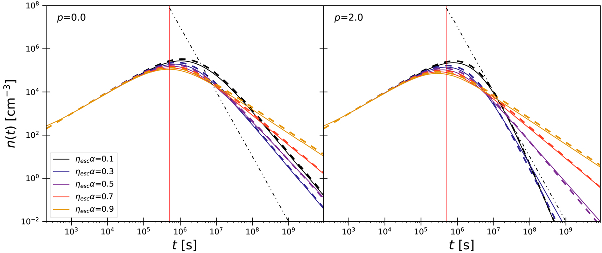
Fig. 1.

Download original image
Particle density as a function of time for various cases of ηescα and p as labeled. The dashed lines are the analytical result, Eq. (7). Vertical red line is tesc(0). Dash-double-dotted line marks t−3. Further parameters are q0 = 1 cm−3 s−1, R0 = 5 × 1015 cm, and ηesc = 3. Solid lines are from simulations using OneHaLe.
Current usage metrics show cumulative count of Article Views (full-text article views including HTML views, PDF and ePub downloads, according to the available data) and Abstracts Views on Vision4Press platform.
Data correspond to usage on the plateform after 2015. The current usage metrics is available 48-96 hours after online publication and is updated daily on week days.
Initial download of the metrics may take a while.