Open Access
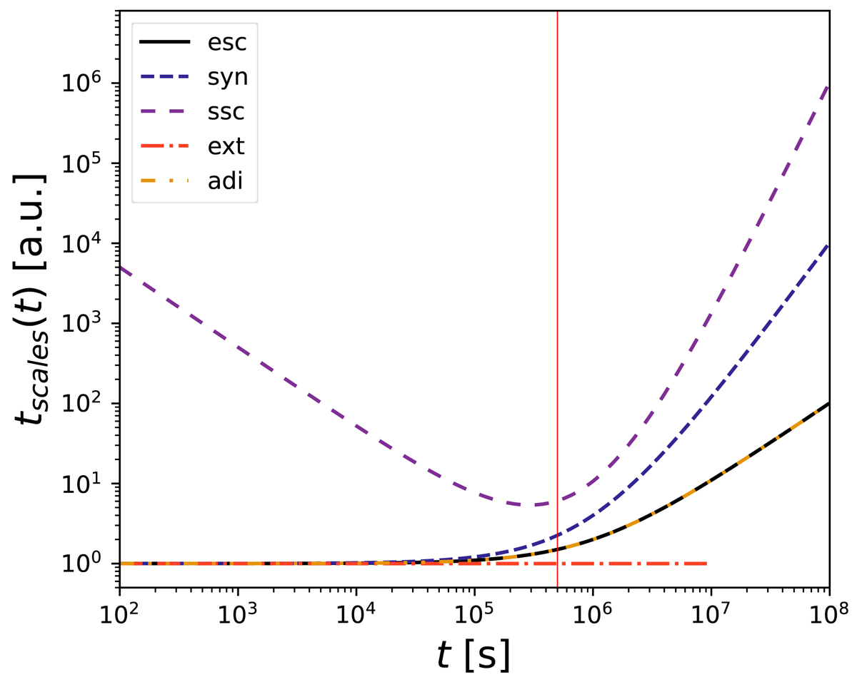
Fig. A.1.

Download original image
Timescales in arbitrary units as labeled versus time in the comoving frame. The lines are indicative of the time-dependency. The vertical red line marks tesc(0). Free parameters are ηescα = 0.5, ηesc = 3, R0 = 5 × 1015 cm, b = 1, p = 2, Γ = 10, and cm.
Current usage metrics show cumulative count of Article Views (full-text article views including HTML views, PDF and ePub downloads, according to the available data) and Abstracts Views on Vision4Press platform.
Data correspond to usage on the plateform after 2015. The current usage metrics is available 48-96 hours after online publication and is updated daily on week days.
Initial download of the metrics may take a while.