Fig. 2.

Download original image
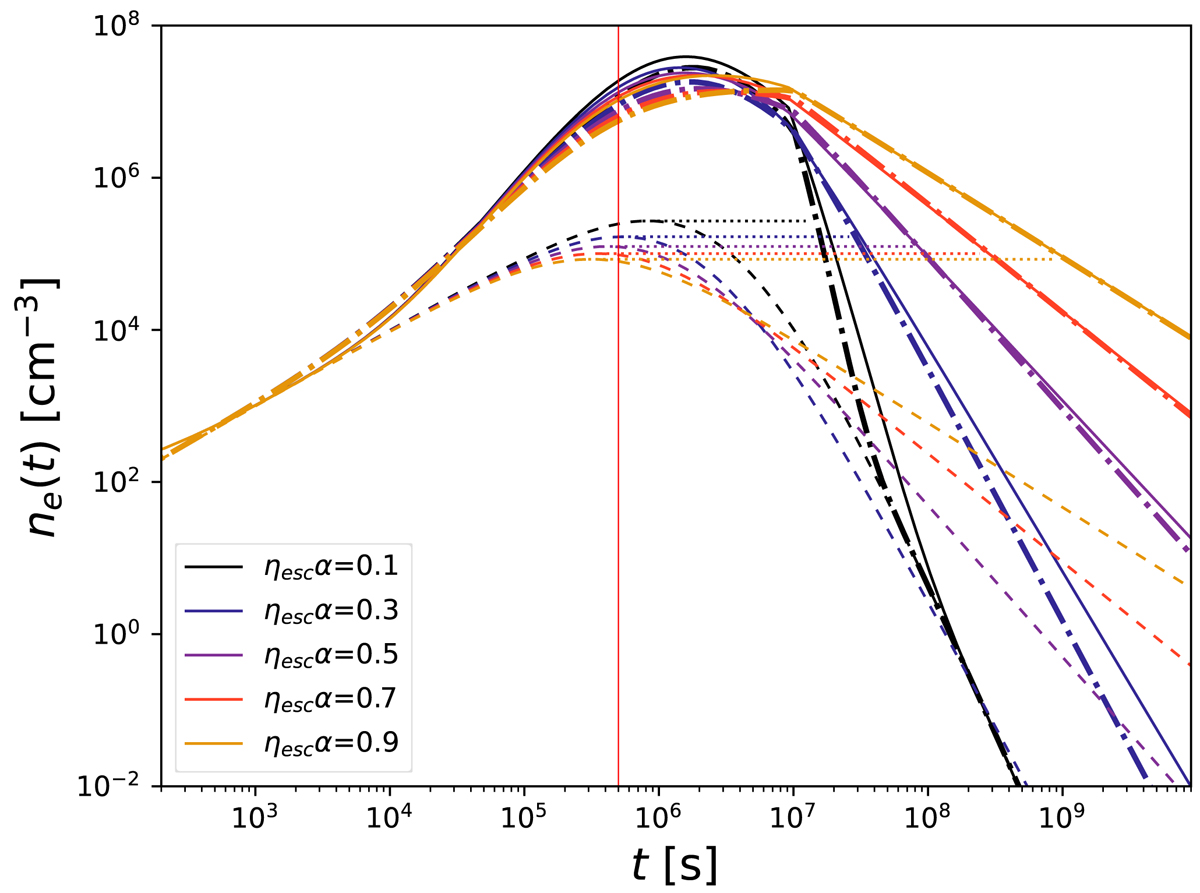
Electron density as a function of time for various cases of ηescα as labeled. Secondary electrons are produced from proton-induced γ rays absorbed by isotropic external photons. The thick dash-dotted line is the analytical solution of Eq. (14), assuming only one isotropic photon field with ni = 1 × 1010 cm−3, and zi = 1 pc. The dashed lines are the standard solution, Eq. (7). The vertical red line is tesc(0), while the horizontal dotted lines mark the maximum level of the standard solution and when they are reached by the dash-dotted lines. Further parameters are p = 2, q0, e = q0, p = 1 cm−3 s−1, R0 = 5 × 1015 cm, ηesc = 3, and Γ = 10. The solid lines mark simulations with OneHaLe.
Current usage metrics show cumulative count of Article Views (full-text article views including HTML views, PDF and ePub downloads, according to the available data) and Abstracts Views on Vision4Press platform.
Data correspond to usage on the plateform after 2015. The current usage metrics is available 48-96 hours after online publication and is updated daily on week days.
Initial download of the metrics may take a while.