Fig. 8.

Download original image
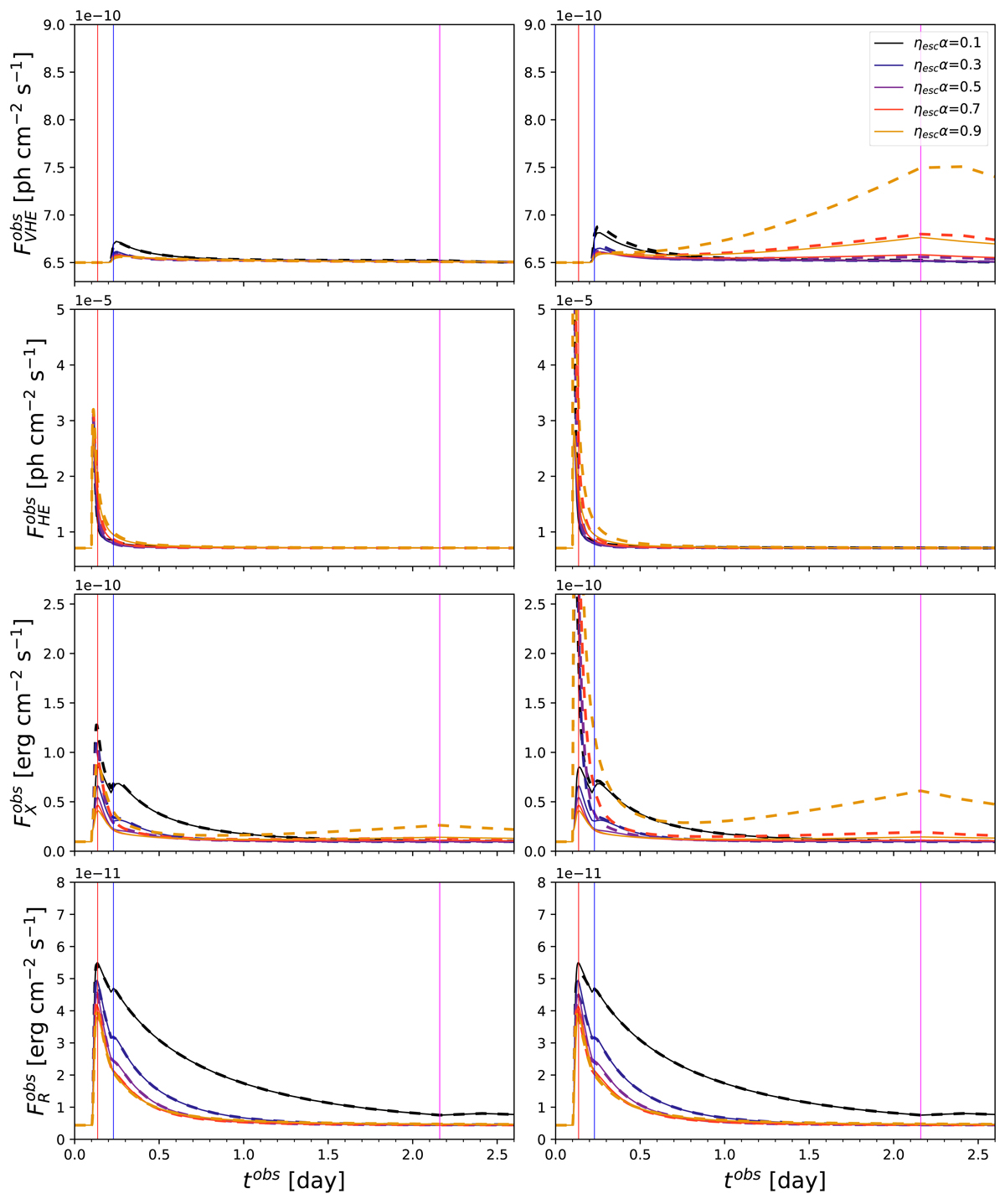
Model light curves based upon parameters describing PKS 1510−089 for VHE γ rays (top row), HE γ rays (2nd row), X-rays (3rd row), and the optical R-band (bottom row) for purely leptonic processes (left column) and including hadronic processes (right column). Displayed models are either with (thick dashed) or without (solid) γ − γ pair production. Colors are for various opening angles as labeled. The vertical lines mark tesc(0) (red), the crossing of the BLR edge (blue) and of the DT edge (magenta); all times in the observer’s frame. For clarity, the launch of the blob takes place at tobs = 0.1 d.
Current usage metrics show cumulative count of Article Views (full-text article views including HTML views, PDF and ePub downloads, according to the available data) and Abstracts Views on Vision4Press platform.
Data correspond to usage on the plateform after 2015. The current usage metrics is available 48-96 hours after online publication and is updated daily on week days.
Initial download of the metrics may take a while.