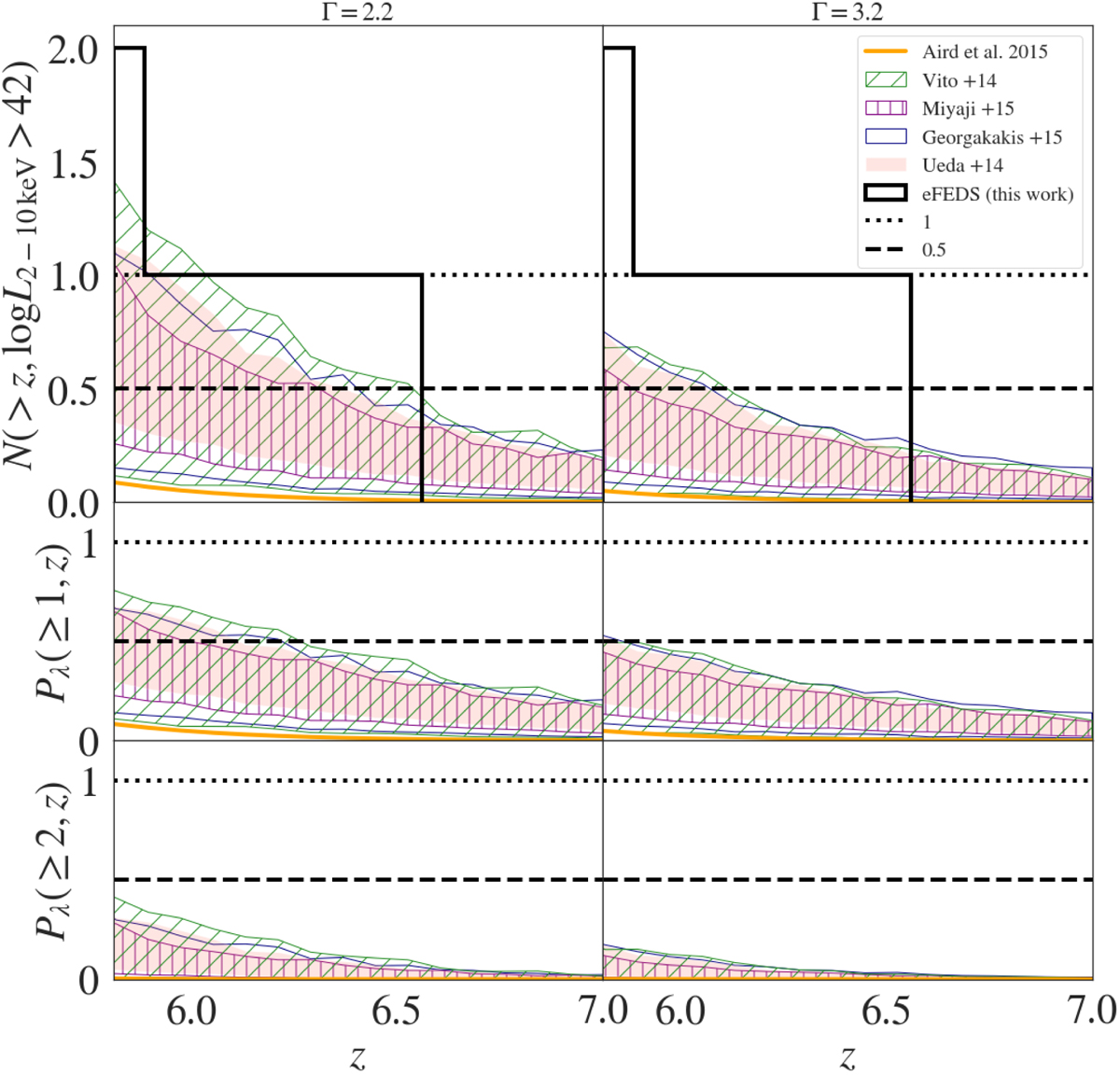
Fig. 10.

Download original image
Inverse cumulative source count predictions in eFEDS from extrapolated XLF models from Vito et al. (2014), Ueda et al. (2014), Aird et al. (2015), Miyaji et al. (2015) and Georgakakis et al. (2015) integrated over all luminosities. The shaded and hashed areas show the 1σ confidence intervals derived from the model parameter uncertainties. These count predictions depend on the sensitive eFEDS area (Eq. (3)) and therefore on the assumed spectral model for the AGN. We show the predictions for two different photon indices, Γ = 2.2 and Γ = 3.2, respectively in the left and right panels. The black line shows the inverse cumulative distribution of detection in eFEDS. No model supports two detections in eFEDS for the chosen photon indices. At Γ = 2.2, the Vito et al. (2014), Ueda et al. (2014), Miyaji et al. (2015) and Georgakakis et al. (2015) models support the unique detection at z ≥ 5.81. The central and lower panels present the Poisson probabilities of the XLF models supporting respectively one and two detections in eFEDS beyond a given redshift threshold. These probabilities are overall low and demonstrate the discrepancy between the eFEDS counts and the model predictions. With Γ = 3.2 the detection probabilities are lower than with Γ = 2.2.
Current usage metrics show cumulative count of Article Views (full-text article views including HTML views, PDF and ePub downloads, according to the available data) and Abstracts Views on Vision4Press platform.
Data correspond to usage on the plateform after 2015. The current usage metrics is available 48-96 hours after online publication and is updated daily on week days.
Initial download of the metrics may take a while.