Open Access
Fig. 11

Download original image
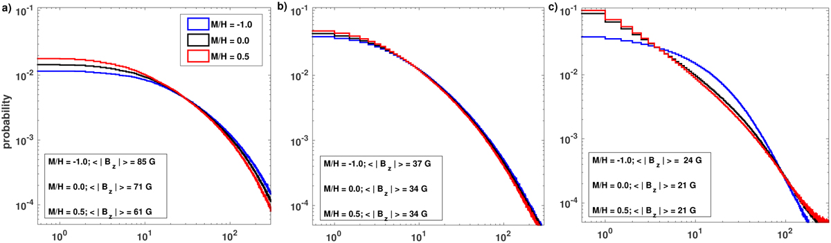
Histogram of vertical magnetic field strength, |Bz|, distribution for three layers: (a) at the optical surface, (b) at 170 km above the optical surface, and (c) 340 km above the optical surface.
Current usage metrics show cumulative count of Article Views (full-text article views including HTML views, PDF and ePub downloads, according to the available data) and Abstracts Views on Vision4Press platform.
Data correspond to usage on the plateform after 2015. The current usage metrics is available 48-96 hours after online publication and is updated daily on week days.
Initial download of the metrics may take a while.